Solución de Nicolás Rosillo Fernández.
Dpto. Matemáticas, IES Máximo Laguna.
Santa Cruz de Mudela, Ciudad Real
nrosillo@olmo.pntic.mec.es
12.- El centro de la
circunferencia de Euler está en la recta de Euler situado en el punto medio
entre el ortocentro y el circuncentro.
Dado que circuncentro y ortocentro pertenecen a la recta de Euler, el problema se reduce a demostrar que el centro de la circunferencia de Euler es el punto medio entre ortocentro y circuncentro.
En su magnífico libro “La experiencia de descubrir en geometría” (Ed.
Nivola), Miguel de Guzmán da los siguiente resultados para el programa de cómputo
simbólico DERIVE:
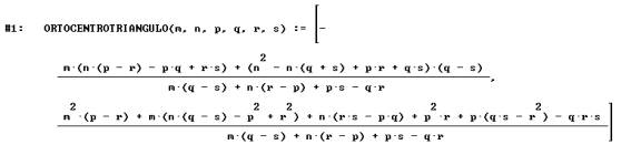
Coordenadas del ortocentro en función de los vértices (m,n)
(p,q) y (r,s) del triángulo

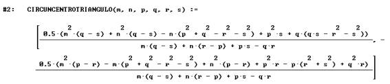
Coordenadas del circuncentro en función de los vértices (m,n)
(p,q) y (r,s) del triángulo

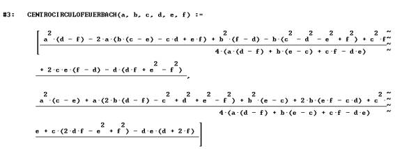
Coordenadas del centro del círculo de Feuerbach en función de los vértices
(a,b) (c,d) y (e,f) del triángulo

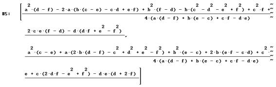
Si se pide al programa DERIVE que calcule las coordenadas del punto medio
de ortocentro y circuncentro
![]()
DERIVE devuelve la siguiente expresión:

expresión que restada a la de las coordenadas del centro del circulo de
Feuerbach

da como resultado (0,0), lo que implica la igualdad y demuestra el
problema.