Introducción
Si se unen cuatro puntos
de un plano de dos en dos por medio de seis rectas distintas, se les llama
vértices de un cuadrángulo completo y las rectas son sus seis lados.
1.72 Si en un cuadrángulo completo hay dos pares de
lados opuestos que son perpendiculares entre sí, los demás lados serán
perpendiculares entre sí de la misma manera. Un cuadrángulo así, ABCH, se
llama cuadrángulo ortocéntrico.
|
Ejercicios |
Coxeter,
HSM , (1.971) Fundamentos de Geometría.Limusa-Wiley. México Págs 42-43
Solución de Nicolás Rosillo. (26 de junio de 2003)
Dpto. Matemáticas, IES Máximo Laguna.
Santa Cruz de Mudela, Ciudad Real
nrosillo@olmo.pntic.mec.es
Sin pérdida de generalidad, se puede suponer una configuración como la
siguiente:

La circunferencia inscrita ha de ser tangente a los 3 lados del
triángulo, por lo que en los puntos de intersección los radios han de ser
perpendiculares a los lados, lo que indica que para la figura dada la longitud
del radio es el valor absoluto de w.
Así, una primera condición sobre (z,w) supuesto el incentro se obtiene
escribiendo la ecuación de la circunferencia de centro (z,w) y radio w.
![]()
e imponiendo que un punto (x,y) de la misma esté en el lado OB:
![]()
a la que añadimos la condición para que el radio trazado en dicho punto
sea perpendicular a ese lado:
![]()
Eliminado x e y en esas tres ecuaciones se obtiene la
ecuación
![]()
como muestra la figura siguiente, describiendo parte de una sesión con
Mathematica.

La ecuación obtenida relaciona (z,w) con las coordenadas de los vértices
del triángulo.
Análogamente, haciendo lo mismo con el lado AB, se obtienen las ecuaciones
![]()
![]()
![]()
a partir de las cuales, por eliminación, se deduce una segunda condición de relación de las coordenadas del incentro:
![]()

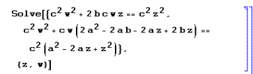
Resolviendo el sistema formado por las dos ecuaciones obtenidas, resultan las coordenadas de z y w en función de a, b y c:

El programa obtiene las cuatro soluciones correspondientes, DE LAS QUE
SÓLO SE MUESTRA UNA debido a su complejidad y tamaño:

Acto seguido, sólo queda calcular el producto escalar de dos vectores
formados cada uno de ellos por dos distintas de las cuatro soluciones halladas.
