PROBLEMA 53

Nicolás Rosillo Fernández.

Dpto. Matemáticas, IES Máximo Laguna.

Santa Cruz de Mudela, Ciudad Real

nrosillo@olmo.pntic.mec.es

Considérense  y  dos de los tres vértices de un triángulo equilátero. Se desea conocer el otro vértice en función de las coordenadas de A y B.

Sean  y  los vértices conocidos del triángulo.

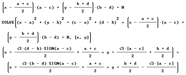
Primer método. Como intersección de dos circunferencias.

Se construyen las ecuaciones de las circunferencias de centro A y radio AB y de centro B y radio BA, y con ayuda de Derive 5 se resuelve el sistema formado.

Segundo método. Como intersección de circunferencia con mediatriz.

Se resuelve en este caso el sistema formado por la circunferencia de centro A y radio AB con la mediatriz del segmento AB.