PROBLEMA 57
Nicolás Rosillo.
Dpto. Matemáticas, IES Máximo Laguna.
Santa Cruz de Mudela, Ciudad Real
nrosillo@olmo.pntic.mec.es
En un triángulo rectángulo, el radio de la circunferencia inscrita mide
, con a y b catetos y c hipotenusa.
Sin pérdida de generalidad, se puede suponer una configuración como la siguiente:

La circunferencia inscrita ha de ser tangente a los 3 lados del triángulo, por lo que en los puntos de intersección los radios han de ser perpendiculares a los lados, lo que indica que para la figura dada la longitud del radio es el valor absoluto de w. Así, una primera condición sobre (z,w) supuesto el incentro se obtiene escribiendo la ecuación de la circunferencia de centro (z,w) y radio w.
![]()
e imponiendo que un punto (x,y) de la misma esté en el lado (0,b)(0,0):
![]()
a la que añadimos la condición para que el radio trazado en dicho punto sea perpendicular a ese lado:
![]()
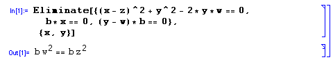
Eliminado x e y en esas tres ecuaciones se obtiene la ecuación
![]()
como muestra la figura siguiente, describiendo parte de una sesión con Mathematica.

La ecuación obtenida relaciona (z,w) con las coordenadas de los vértices del triángulo.
Análogamente, haciendo lo mismo con el lado (0,b)(a,0), se obtienen las ecuaciones
![]()
![]()
![]()
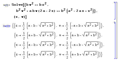
a partir de las cuales, por eliminación, se deduce una segunda condición para determinar las dos coordenadas del incentro:
![]()

Resolviendo el sistema formado por las dos ecuaciones obtenidas, resultan las coordenadas del incentro en función de las coordenadas de los vértices del triángulo:

El hecho de obtener cuatro soluciones no debe sorprender, puesto que existen cuatro posibles circunferencias tangentes a los lados de un triángulo, una interior al triángulo y tres exteriores a él. Se supone en todo momento triángulos no degenerados, esto es,
.
La segunda solución muestra la solución al problema propuesto, puesto que w vale exactamente
, y las otras tres soluciones muestran una propiedad no menos curiosa; a saber:
Los radios de las circunferencias tangentes a los lados de un triángulo rectángulo miden
.