Propuesto por François Rideau, Maître de Conférences à l'Université de Paris 7

102

Sea ABC un triángulo no equilátero. Sea Γ su circunferencia circunscrita y O su centro.

Las tangentes en A, B , C a la misma forman un triángulo A' B' C'. Sea A'' B'' C'' el homotético de A'B'C' de centro O y razón -½.

1._

Demostrar que ABC y A'' B'' C'' son homológicos*, cuyo centro D de homología está sobre Γ.

*Homológicos en el sentido de Desargues: sus vértices dos a dos se encuentran sobre tres rectas que tienen un punto de concurrencia.

2._

Demostrar que cada uno de los puntos A B C D puede ser obtenido a partir de los otros tres. (De la misma manera que D a partir de A B C)

Rideau (2003): Le problème de Dobbs. Documento de trabajo.

Solución de José María Pedret, Ingeniero Naval. Esplugues de Llobregat (Barcelona).

 

INTRODUCCION

 

Teorema

 

Una homografía del plano P → P' es una homología si y sólo si existe un punto D tal que, para todo P distinto de D, la recta PP' pasa por D.

 

Este punto D recibe el nombre de centro de la homología.

 

Puede verse la demostración en Sidler, Jean-Claude. Géométrie projective. Théorème 4.2.


Por lo tanto, atendiendo al enunciado, debemos demostrar que:

 

ole.gif  

 

El uso directo de homografías en el plano es algo engorroso, para buscar la imagen de un punto, deberíamos conocer previamente la imagen de cuatro puntos y luego hallar la imagen del punto deseado sabiendo que se conserva la razón doble de cuatro puntos alineados...

 

En el caso de que la homografía sea una homología, es más fácil gráficamente; pero eso es lo que tenemos que hallar en este problema.

 

Es mucho más sencillo, desde el punto de vista gráfico, trabajar con rectas proyectivas o con círculos y sus homografías, mucho más simples que las homografías planas.

 

Las ideas básicas de GEOMETRIA PROYECTIVA usadas en este problema pueden hallarse en el problema 137 de las páginas de RICARDO BARROSO CAMPOS

 

sol/sol137pedcp.pdf

 

Para la demostración reinterpretaremos el enunciado y seguiremos el siguiente desarrollo:

1._

Definiremos D como la imagen de A por una involución.

2._

Definiremos B'' como la imagen de A por una composición de homografías y veremos que la proyección de B'' desde B coincide con D.

3._

Definido el centro de homología, por medio de la involución, responderemos al apartado 2 del enunciado.

 

DIBUJO DEL ENUNCIADO

 

102.01.giffigura 1

 

 

REINTERPRETACION DEL ENUNCIADO

 

Sea un círculo Γ de centro en O.

Sean dos puntos fijos B y C tal que B ∈ Γ y C ∈ Γ.

Sea A un punto variable de Γ.

Sean tB y tC las tangentes a Γ por B y C respectivamente.

Sean t’B y t’C las imágenes de tB y tC por una homotecia de centro O y razón -½

 

102.02.giffigura 2

 

 

REDEFINICION DE BB''∩Γ Y CC''∩Γ

 

t'C, imagen homotética de tC, es la tangente a Γ' paralela a tC y que deja a O entre t'C y tC. Γ' es la imagen de Γ por la homotecia de centro O y razón -½.

 

Vemos además que la tangente por A corta a tC en B' y B'' además de ser la imagen por la homotecia de centro O y razón -½, puede definirse por la siguiente homografía:

 

ole1.gif

 

Si nos centramos en B' vemos que podemos definirlo con la siguiente homografía:

 

ole2.gif

 

Otra homografía, definimos la proyección desde B de la recta t'C sobre el círculo Γ:

 

ole3.gif

 

Como la composición de homografías es una homografía, podemos decir que pasamos desde un punto cualquiera A de Γ a otro punto D de Γ con la siguiente homografía.

 

ole4.gif

( Si fuera D, el problema estaría resuelto )

 

 

DE MODO ANALOGO, PODEMOS CONSTRUIR CC''∩Γ.

 

REDEFINICION DE AA''∩Γ

 

Observando la figura, tB tC son fijos, pues también lo son Γ, B y C ; pero:

 

ole5.gif

 

Observando la figura, t'B t'C son fijos, pues también lo son tB tC; pero:

 

ole6.gif

 

Como A'' es un punto fijo, podemos definir la siguiente involución:

 

ole7.gif

 

AHORA AA''∩Γ= BB''∩Γ = D

 

Para que se cumpla el enunciado bastará probar que:

 

ole8.gif

 

Teorema

 

Dos homografías entre rectas proyectivas que coinciden en tres puntos distintos son iguales.

 

Puede verse en Sidler, Jean-Claude. Géométrie projective. Corollaire 2.1.

 

Proyección de una cónica sobre una recta
c5p.25.giffigura 3

Sea P un punto de una cónica y sea r una recta que no pasa por P. Sea X un punto de la cónica; la recta PX corta a r en un punto X'. Es una biyección p, de la cónica sobre la recta, llamada proyección de la cónica sobre la recta r desde de un punto P. Conserva la razón doble y su inversa es la proyección de la recta sobre la cónica desde un punto P. Si X coincide con P, PX es la tangente a la cónica en P.

Sea h una homografía de la recta sobre sí misma y h' una homografía de la cónica sobre sí misma:

ole9.gif

 

 

Como ole10.gif es isomorfismo de grupos, podemos trabajar con h' o con h (aplicando a la cónica lo visto en las homografías de la recta).

 

Puede verse en Sidler, Jean-Claude. Géométrie projective. 5.2.1.

 

Vistos los dos recuadros anteriores podemos decir que :

 

Teorema

 

Homografías de un mismo círculo que coinciden en tres puntos distintos son iguales.

 

 

Comprobación del punto P (Primer punto de coincidencia)

 

102.03.giffigura 4  

P es la intersección superior:

 

ole11.gif



La tangente por P debe ser perpendicular a OP y si observamos la figura 4,

 

ole12.gif

 

de lo que se deduce:

._        ΔPτ(P)C es equilátero

._        ΔPCQ es equilátero.



Ahora bien Oτ(P) es bisectriz de ∠Pτ(P)C y por tanto también es bisectriz de ∠PQC, deducimos entonces:

 

ole13.gif



Por otra parte:

 

ole14.gif


De lo anterior deducimos el siguiente resultado:

 

ole15.gif

 

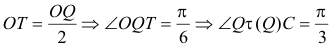
Comprobación del punto Q (Segundo punto de coincidencia)

 

102.04.giffigura 5  

Q es la intersección inferior:

 

ole16.gif



La tangente por Q debe ser perpendicular a OQ y si observamos la figura 5,

 

ole17.gif

de lo que se deduce:

._       ΔQτ(Q)C es equilátero

._       ΔQCP es equilátero.



Ahora bien Oτ(Q) es bisectriz de ∠Qτ(Q)C y por tanto también es bisectriz de ∠QCP, deducimos entonces:

 

ole18.gif



Por otra parte:

 

ole19.gif


De lo anterior deducimos el siguiente resultado:

 

ole20.gif

 

resultado previsible si la homografía debe ser una involución.

 

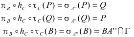
Comprobación del punto B (Tercer punto de coincidencia)

 

102.05.giffigura 6

 

B es el punto dado en el enunciado. En este punto B, todo es más sencillo.




La tangente por B no es otra que tB y si observamos la figura 6,

 

ole21.gif



Pero además también

 

ole22.gif



Y por último

 

ole23.gif



También por definición

 

ole24.gif


De lo anterior deducimos el siguiente resultado:

 

ole25.gif

 

SOLUCION DEL APARTADO 1 DEL ENUNCIADO

 

a._

ole26.gif  

b._

La coincidencia de las dos homografías en tres puntos distintos las hace idénticas:

 

ole27.gif

c._

Por procedimiento análogo y considerando el punto C:

 

ole28.gif

d._

Podemos pues escribir:

 

ole29.gif

 

 

De (d) deducimos que los triángulos ΔABC y ΔA'' B'' C'' son homológicos, con centro de homología en D∈Γ.

 

c.q.d

 

PODEMOS DECIR QUE FIJADOS ABC, LA INVOLUCION σA'' DEFINE EL CENTRO DE HOMOLOGIA D.


 

SOLUCION DEL APARTADO 2 DEL ENUNCIADO

 

102.06.giffigura 7  

 

Supongamos, sin pérdida de generalidad, que tenemos BCD. Las tangentes en C y en B son las mismas que en el apartado anterior y su intersección es A' (sería ahora D') y A'' sería el mismo que en el caso anterior (sería ahora D'').

Se cumplirá entonces que dados BCD:

 

ole30.gif

 

Resultado previsible por ser una involución.

 

 

Pero hemos demostrado que la imagen de esta involución es el centro de la homología, entonces A es el centro de homología para los puntos BCD.

 

c.q.d.


Análogamente para ACD y ABD definiremos el mismo tipo de involución.