Propuesta de José Montes Valderrama, profesor del Centro Público de Adultos ·"Triana", Sevilla .


Problema 163

De forma análoga a como se obtienen los dos puntos de Fermat, construimos un cuadrado sobre cada uno de los lados de un triángulo y unimos cada centro de estos cuadrados con el vértice opuesto (del lado sobre el que está el cuadrado) del triángulo.

Así, se obtiene PI cuando los cuadrados se construyen por el interior de los lados del triángulo:

Este es el llamado INNER VECTEN POINT X(486) de la lista de Kimberling. Ver el problema 93 de esta colección, con soluciones de F. Damián Aranda Ballesteros, Juan Carlos Salazar, con generalización, y de Saturnino Campo Ruiz (16-30 de abril de 2003)


Cuando los cuadrados se construyen por el lado exterior, se obtiene el punto PE: Este es el llamado VECTEN POINT X(485)


Pues bien PI , PE , y el centro de la circunferencia de los nueve puntos F


( ver problema 8 con soluciones de Saturnino Campo Ruiz y del editor (1-15 noviembre 2000)

,problema 12, con solución del editor (16-30 noviembre 2000)

,problema 15 sin resolver, 1-15 de diciembre de 2000)

problema 110 con Estudio de José Manuel Arranz San José, demostración según de Sortais, Y, R, (1997-2002), traducida por el editor, solución de Saturnino Campo Ruiz yTraducción de Francisco Javier García Capitán)


siempre están alineados.


Montes(2004): Propuesta personal.

 

Solución de José María Pedret. Ingeniero naval. Esplugas de Llobregat. Barcelona. 23 de abril de 2004.

image002.jpg
image004.gif
image006.jpg

 

Para resolver este problema usaremos la vía algebraica.

Usaremos coordenadas baricéntricas y coordenadas trilineales.

Ver http://mathworld.wolfram.com/BarycentricCoordinates.html

Ver http://mathworld.wolfram.com/TrilinearCoordinates.html

Sabemos que:

Dados dos puntos P y R de coordenadas trilineales (p1, p2, p3) y (r1, r2, r3) y coordenadas baricéntricas (ap1,b p2,c p3) y (ar1,b r2,c r3) respectivamente. La ecuación de los puntos T sobre la recta PR en coordenadas baricéntricas :


ole.gif

Ver http://faculty.evansville.edu/ck6/encyclopedia/


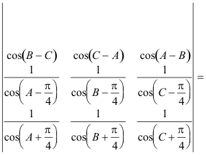
- Coordenadas trilineales de F: cos(B - C) : cos(C - A) : cos(A - B)


- Coordenadas trilineales de PE: sec(A - pi/4) : sec(B - pi/4) : sec(C - pi/4)


- Coordenadas trilineales de PI: sec(A + pi/4) : sec(B + pi/4) : sec(C + pi/4)


Busquemos entonces el valor del siguiente determinante:

ole1.gif

 

ole2.gif

 

ole3.gif  

ole4.gif  

desarrollando por la primera filas y viendo que los menores del tipo

ole5.gif

 

nos queda

ole6.gif

 

como

ole7.gif

entonces

ole8.gif

 

como

ole9.gif

entonces

ole10.gif

 

como

ole11.gif

entonces

ole12.gif

 

0

Como su determinante es nulo los puntos F, PE, PI están alineados. c.q.d.