Propuesta de Juan Carlos Salazar, Profesor de Geometría del Equipo Olímpico de Venezuela.(Puerto Ordaz).


Problema 171 y 169:

En un triángulo ABC, con triángulos tangenciales externos A1B1C1, A2B2C2, A3B3C3 y triángulo tangencial interno A0B0C0.

Demostrar que: 1/ρ0 = 1/h1 + 1/h2 + 1/h3

Donde: h1, h2 y h30 son alturas y r0 es el inradio del triángulo A0B0C0.

Salazar, J.C. (2004): Propuesta personal

Sea:

 S0 el área del triángulo A0B0C0.

 S1 el área del triángulo A1B1C1.

 S2 el área del triángulo A2B2C2.

 S3 el área del triángulo A3B3C3.


Demostrar que 1 / S0= 1/ S1 + 1/S2 + 1/S3.

Autor desconocido.


Solución de José María Pedret, Ingeniero Naval, Esplugues de Llobregat (Barcelona)

 

Dibujo del enunciado

171y169.01.giffigura 1  

Marcha a seguir para la demostración

a)

Veremos la relación que existe entre el radio de la circunferencia inscrita y las tres alturas de un triángulo cualquiera.

b)

Aprovechando que los círculos ex-inscritos y el círculo inscrito son homotéticos. Relacionaremos las alturas de los triángulos tangenciales exteriores (1), (2), (3) con las alturas del triángulo tangencial interior (0).

c)

Combinaremos los resultados anteriores para concluir con el resultado buscado on los inversos de las alturas.

(Correspondiente al problema 171)

d)

Con el resultado anterior (b) y (c) demostraremos el resultado pedido en el problema 169


Definiciones


ole.gif

 

a)

LAS TRES ALTURAS Y EL RADIO INSCRITO DE UN TRIANGULO CUALQUIERA

Con el fin de desarrollar la capacidad de observación de las figuras, el método usado, en este apartado, aprovecha las semejanzas de triángulos y las propiedades de los segmentos de las tangentes comunes a dos círculos.


Con la construcción del enunciado, determinamos los puntos de contacto

171y169.02.giffigura 2  

Teniendo en cuenta los triángulos que se forman con las bisectrices y partiendo de cada vértice hasta los puntos de contacto con el círculo inscrito


ole1.gif


Escribamos el perímetro como suma de los segmentos anteriores y apliquemos la igualdad de segmentos


ole2.gif


notando el semi-perímetro como s, nos queda


ole3.gif


en el círculo ex-inscrito

ole4.gif


y como

ole5.gif


seguimos observando y


ole6.gif

 

Veamos ahora, los radios del círculo inscrito y el ex-inscrito

171y169.03.giffigura 3  

Triángulos a destacar de la figura, IC0A, AA2I2. Estos triángulos son rectángulos y son semejantes y por tanto:


ole7.gif


Esta relación nos será muy útil más adelante.


Al tener lados perpendiculares (ver marcas de ángulos en la figura), los triángulos rectángulos IC0A, AA2I2 también son semejantes y


ole8.gif


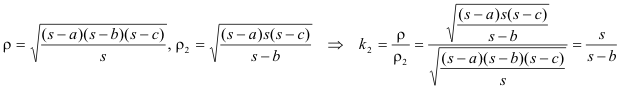
Multiplicando las dos últimas ecuaciones obtenemos ρ y dividiendo obtenemos ρ2


ole9.gif

 

Ahora expresaremo 171y169.04.giffigura 4 s las relaciones de las alturas

 


Sobre BC=a llevamos b=CAc y c=BAb, Como IB, IC son bisectrices de ABC, AAc y AAb son sus paralelas, entonces IBC y AAbAc son triángulos semejantes y por tanto:


ole10.gif

expresión que nos permite expresar las alturas en función de los lados; pero nosotros expresaremos cada lado en función de lo anterior


ole11.gif


ole12.gif


por tanto, en un triángulo cualquiera


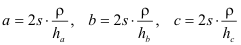
ole13.gif

 

b)

LAS ALTURAS DE LOS TRIANGULOS TANGENCIALES INTERIOR Y EXTERIOR


Ahora vemos que los círculos son homotéticos


171y169.05.giffigura 5.0

I e I2 están sobre la bisectriz del ángulo B los extremos de radios perpendiculares a II2 están, por ejemplo, en A0 y en C2 respectivamente y estos puntos están sobre BC, por lo tanto podemos decir que el círculo ex-inscrito es el transformado por una homotecia de centro B y razón la de los radios (aunque la razón no es necesaria hasta el final)


ole14.gif


Resultado ya obtenido al observar la figura 3. Al ser homotéticos C2A2 es paralela a A0C0,.


Por B0 trazamos la perpendicular B0HB0 a estas dos rectas que determina la altura hb0.

Por B2 trazamos la perpendicular B2HB2 a estas dos rectas que determina la altura h2.

 


B20 el punto medio de B0B2 es el punto medio de CA=b/2 y equidista de las paralelas C2A2 y A0C0,


ole15.gif


Para ver la equidistancia sólo hay que observar la figura y recordar lo establecido en la figura 2


ole16.gif


entonces A0C2A2C0 es un trapecio isósceles y como CC2=C0A y B20 es el punto medio de CA, B20 está sobre una paralela equidistante de las bases del trapecio

171y169.051.giffigura 5.1  

ole17.gif  

entonces incluyendo este último resultado en la siguiente figura

 

171y169.06.giffigura 6  


ole18.gif


de donde los triángulos son simétricos respecto B20 y por tanto


ole19.gif


y de aquí


ole20.gif

 

c)

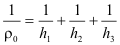
RELACION DE ALTURAS E INRADIO DE LOS TRIANGULOS TANGENCIALES (171)

 

171y169.07.giffigura 7  

Si en el triángulo A0B0C0, ρ0 es el radio de su círculo inscrito (en rojo en la figura) , se cumple


ole21.gif


pero


ole22.gif


entonces


ole23.gif c.q.d

 

d)

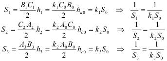
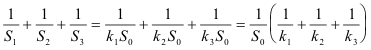
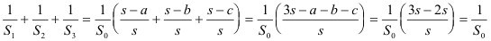
RELACION DE AREAS DE LOS TRIANGULOS TANGENCIALES (169)

 

Recordando la homotecia establecida entre el círculo inscrito y el ex-inscrito, tenemos tres homotecias de razones (figura 5)


ole24.gif


Expresando las áreas de los triángulos como base por altura, tenemos


ole25.gif


y de aquí


ole26.gif


sustituyendo


ole27.gif


hemos obtenido


ole28.gif


c.q.d