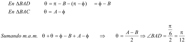
Problema 178.


Tenemos un triángulo ABC con D sobre CB, tal que AC=CD, y <CAB - < ABC =30º.


Hallar la medida del ángulo BAD


Goldin G.A. y McClintock, C.E. (1984): Task variables in mathematical problem solving. Franklin Intitute Press. p. 232


Solución de José Mará Pedret, Ingeniero Naval. Esplugues de Llobregat (Barcelona)

 

178.gif  

 

ole.gif