Problema 179

Sea ABC un triángulo rectángulo en A.

Por un punto O del cateto AB tracemos la

perpendicular OH a la hipotenusa BC.

Sea D el punto de intersección de la recta OH con la recta AC.

Tracemos BD. Sea E el punto de intersección de la recta BD con la CO.

Hallar el lugar geométrico de E cuando O recorre AB.

André, M. Ph. (1920). Éléments de GÉOMÉTRIE Conformes aux programmes de baccalauréats (1re partie)

de l'enseignement secondaire classique et de l'enseignement secondaire moderne. Contenant plus de mille

problémés résolus et a resoudre.(Treinte-quatriéme edition). Paris, Librairie classique de FE André Guédon.

E. Andre Fils Succeseur, 6 rue Casimir-Delavigne (près l'Odeon). (p. 82)

 

Solución de Nicolás Rosillo, profesor del IES Máximo Laguna, Santa Cruz de Mudela, Ciudad Real

 

 

 

Problema 179

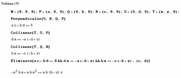
Se recurre a un paquete de Mathematica en el que se han implementado las instrucciones geométricas usuales, al que se le dan las condiciones impuestas para realizar la construcción. A continuación se eliminan las variables dependientes (puesto que independientes sólo son las de M, P y Q) para obtener el lugar geométrico generado por T. El lugar geométrico resulta una circunferencia de centro (a/2,b/2) y radio la distancia al origen.

 

VALDEPEÑAS, 16 junio 2004

Nicolás Rosillo