Problema 237 de triánguloscabri |
| Sea el triángulo ABC, por
su incentro I se traza una perpendicular a AC que corta en
M y N a BC y la prolongación de AB respectivamente.
Si además se cumple que: 1/IM2 + 1/IN2 = 1/r2, donde r = inradio de ABC, probar que ÐB=90º. |
|
Propuesto por Juan Carlos Salazar. |
Solución
de Francisco Javier García Capitán
Si seguimos al pie de la letra los datos del enunciado, colocaremos el punto M como en la figura (tomada de la solución de Jose María Pedret), entendiendo la prolongación de AB como la semirrecta que parte de B que no contiene a A.
Al resolver el problema con coordenadas baricéntricas no imponemos a M tal limitación, y lo dejamos estar en cualquier punto de la recta AB. De esta manera, aparecerá una solución para B distinta del ángulo recto vaticinado por el enunciado.
Finalmente, daremos una visión global de todos los triángulos que cumplen la condición que aparece en el enunciado.
a. Fórmulas relacionadas con coordenadas baricéntricas que usaremos:


b. Puntos y rectas que intervienen en el problema:
c. Efectuamos los cálculos necesarios:
Vemos rápidamente que el factor
corresponde
al caso de que el ángulo B sea recto, correspondiendo a la tesis
del enunciado, pero observamos que el factor
quizás
pueda anularse, aportando una nueva solución del problema. Si despejamos
b en función de a y c obtenemos dicha solución:

La fórmula anterior parece decir, que para cualesquiera valores de a y c vamos a poder encontrar un valor de b que forme con ellos un triángulo que cumpla las condiciones del enunciado.
Para visualizarlo con Cabri, podriamos fijar un segmento BC de longitud a, y calcular b para este a fijo y para un c variable. Entonces determinariamos A tal que BA=c y CA=b, y observariamos las diferentes posiciones del punto A.
Pero gracias a una sencillísima construcción de Jose María Pedret (gracias de nuevo, Jose María) nos podemos ahorrar el cálculo de b:
Fijamos el segmento
BC de longitud a.En efecto, usando la potencia de C respecto de la circunferencia,
![]()
Usando la herramienta Lugar geométrico de Cabri obtenemos la curva mostrada en la figura.
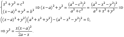
Terminaremos hallando la ecuación de la curva obtenida. Para ello consideramos a B como origen de coordenadas y a BC como eje x. Entonces, B=(0, 0) y C=(a, 0). Si A=(x, y) entonces