trianguloscabri300 |
Redescubrir en Geometría |
|
El punto de ClawsonEn TTW podemos leer sobre el punto de Clawson:
|
El punto de Clawson: lo que ya está hecho
El triángulo órtico A'B'C' es fácil de dibujar. Para obtener el triángulo extangencial A"B"C" hallaremos las rectas simétricas de BC, CA, AB respecto de las rectas IbIc, IcIa e IaIb, respectivamente. |
La figura obtenida sería la siguiente:

Los vértices del triángulo órtico los obtenemos así:
Para hacer las coordenadas de los vértices del triángulo extangencial necesitamos necesitamos saber las coordenadas de los puntos de contacto de las circunferencias exinscritas con las prolongaciones.
Para ello, recordamos que, por ejemplo, es B(IbX) = s y C(IbX) = s-a. Entonces B(IbX):(IbX)C = -s:s-a y IbX = (0:s-a:-s). De la misma forma podemos hallar todos los demás puntos de contacto. Entonces podemos introducir en Mathematica las coordenadas de todos estos puntos así:
Ahora hallamos las rectas simétricas de las rectas BC, CA, AB respecto de I_bI_c, I_cI_a, I_aI_b, respectivamente.
Finalmente hallamos los puntos de intersección de estas rectas:
Ahora podemos comprobar que las rectas A'A", B'B" y C'C" son concurrentes:
Además las rectas B'C' y B"C" son paralelas, pues se cortan en un punto cuyas coordenadas suman 0, un punto de la recta del infinito:
De la misma forma, los otros pares de rectas también son paralelos y los triángulos A'B'C' y A"B"C" son homotéticos. Para hallar el centro de la homotecia, hallaremos la intersección de A'A" y B'B":
Este punto puede escribirse en la forma
y teniendo en cuenta que según el teorema del coseno y el teorema de los senos es
podemos expresar
y entonces
que es como aparece el punto de Clawson en la ETC de Clark Kimberling. También podemos calcular la coordenada de búsqueda en la ETC del punto que hemos hallado:
Buscando esta coordenada en la página de búsqueda de la ETC encontramos que, efectivamente, corresponde a X19.
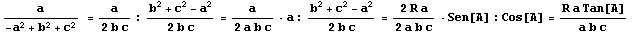
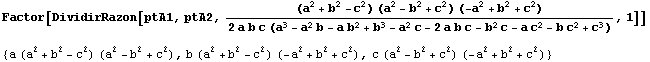
Con un poco más de trabajo podemos hallar la razón de homotecia:
La razón de homotecia queda calculada salvo un signo. Para determinarla completamente probamos a dividir el segmento A'A" con una de las posibilidades, y al obtener el punto de Clawson sabemos que es la correcta:
Por tanto deducimos que la homotecia que lleva A"B"C" en A'B'C'
viene dada por
siendo
Las fórmulas
vistas hasta aquí nos dicen que la situación será especial
en el caso de un triángulo rectángulo. Consideremos por ejemplo
un triángulo rectángulo en B, y hagamos la figura con Cabri,
que se muestra a la derecha.
Entonces el triángulo órtico A'B'C' degenera en un segmento en el que B' es pie de B sobre CA y A'= B = C'.
Si ABC es rectángulo en B,el triángulo extangencial también es extraño, pues las rectas A"B" y B"C" resultan paralelas y B" es un punto del infinito.
Esto lo podemos comprobar hallando la suma de las coordenadas (traza en terminología de matrices) del punto B, y comprobando que se anula cuando el triángulo ABC es rectángulo en B:
El punto de Clawson coincide con el vértice B.
Observemos que en este caso de que el triángulo ABC sea rectángulo
en B, se cumplen las relaciones ![]()
En efecto, en este caso tenemos k=0, y por un lado,
Por otro lado tenemos
resultado que es indeterminado. Casi podemos decir que se cumplen las tres relaciones.
Vamos a comprobar que es cierto el mencionado
Teorema 1. Los puntos de tangencia entre las circunferencias exinscritas
y las prolongaciones de los lados del triángulo están en una cónica,
que tiene el centro X alineado con el simediano K y con el punto de Clawson.
Además resultará que el punto X está catalogado como X478 en la ETC de Clark Kimberling.
Hallamos ecuación de la cónica que pasa por cinco de los seis puntos de contacto.
Ahora sustituimos por el sexto punto de contacto (ptIcY) y comprobamos que pertenece a la cónica.
Simplifiquemos un poco la ecuación quitando los factores no nulos:
Podemos hallar el centro de la cónica:
Comprobamos que dicho centro ya está catalogado en la ETC de Clark Kimberling:
Ahora comprobamos lo afirmado por el teorema 1, que el punto de Clawson, el punto simediano K y el centro de la cónica están alineados, introducciendo directamente las coordenadas del punto simediano:
Puede ser interesante determinar en qué casos la cónica es una elipse, una parábola o una hipérbola. Ello se hace en coordenadas baricéntricas resolviendo el sistema formado por la ecuación de la cónica y la recta x+y+z=0, la recta del infinito. Según que haya dos soluciones, una o ninguna se tratará de una hipérbola, una parábola o una elipse.
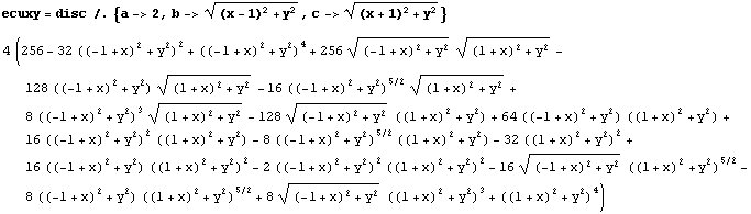
La siguiente función calcula el discriminante de la ecuación de segundo grado resultante del sistema anterior, por lo que cuando sea positivo, nulo o negativo se tratará de una hipérbola, parábola o elipse, respectivamente.
Una forma de hacernos una idea de a qué triángulos corresponde que esta expresión sea nula es fijar el segmento BC de manera que B=(-1,0) y C=(1,0) y dejar libre el vértice A=(x,y). Sustituyendo los valores de a, b, c para este triángulo obtendremos una ecuación f(x,y).

Los puntos A correspondientes a f(x,y)=0 darán lugar a triángulos ABC donde la cónica será una parábola. Si es +f(x,y)>0 tendremos una hipérbola y si f(x,y)<0 una elipse. Desgraciadamente, en este caso la ecuación resultante es bastante complicada:
Sin embargo, la función ImplicitPlot de Mathematica es capaz de representarla.
En las zonas coloreadas en amarillo en la figura siguiente tendremos una hipérbola, y en las coloreadas en verde tendremos una elipse, mientras que sólo habrá una parábola en los puntos de la curva.