Problema 344 de triánguloscabri

Caracterizar y construir el triángulo ABC, que es rectángulo en A, de hipotenusa a=BC, y de catetos b=AC, y c=AB, de tal forma que, BD=DE=EC, donde D es un punto tomado sobre AC, E es un punto tomado sobre BC, tal que el ángulo ÐABD=ÐACB, y el ángulo BDE es rectángulo en D.
Calcular también, los radios de los círculos inscrito y circunscrito a cada uno de los triángulos ABD, BDE, DEC.

Propuesto por Juan Bosco Romero Márquez.

Solución de Francisco Javier García Capitán

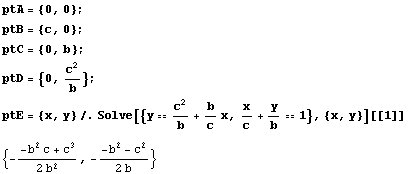
Usamos la geometría analítica y las coordenadas cartesianas. Suponemos A=(0,0), B=(0,c), C=(0,b).

La condición ÐABD=ÐACB obliga a que los triángulos ABD y ACB son semejantes.

Entonces AD : AB = AB : AC de donde AD = c^2/b. Así tenemos D=(0, c^2/b). Siendo DE perpendicular a DB, el triángulo ECD será siempre isósceles, siendo la segunda coordenada de E : (1/2)(b + c^2/b). La primera la podemos hallar teniendo en cuenta que la ecuación de la recta BC es x/c + y/b = 1. También podemos hacer:

Ahora imponemos la condición BD = DE:

A partir de aquí es fácil deducir que si b>c, entonces la única posibilidad es que

Para construir este triángulo colocamos AB=c en el eje x y trazamos la circunferencia de centro A y radio AB que corta al eje y en S. Con centro S y radio SB trazamos otra circunferencia que cortará en C (por el mismo lado que S) y T (por el otro lado) al eje y. Tendremos:

Los triángulos ABD y BDE son rectángulos, así que podemos calcular R y r sabiendo que para un triángulo rectángulo con catetos x e y e hipotenusa z es R = z/2 y r = (x+y-z)/2. Así tenemos, para ABD y BDE:

Para hallar el área del triángulo DEC podemos usar las fórmulas del área del triángulo (ABC) = sr = abc/4R, con las que obtendremos: