|
Sean ABC un triángulo no rectángulo en A y V un punto situado sobre la recta BC, distinto de los vértices. La paralelas a AC y AB por por V cortan a AB y AC en D y E, respectivamente. La perpendicular a AB por V corta en en G a AC. La perpendicular a AC por V corta en F a AB. Además consideramos los puntos de intersección J = GD Ç VF y K =EF Ç VG. a) Demostrar que cada uno de los siguientes enunciados es cierto si y solo si AV es una de las bisectrices del ángulo A.
b) V es el ortocentro de AFG. |
|
Propuesto por Juan Bosco Romero Márquez
y Francisco Javier García Capitán
|
Solución de Francisco Javier García Capitán


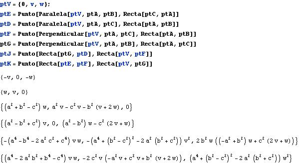
Usaremos coordendas baricéntricas y Mathematica para resolver a la vez cada enunciado y su recíproco.
![]()
Introducimos los puntos del problema.

Obtenemos, en forma factorizada, las expresiones que deberán anularse para que se cumplan cada uno de los enunciados 1., 2. y 3., teniendo en cuenta que

La cuestión sobre el triángulo isósceles VFG la resolvemos usando la función CuadradoDistancia.

Ahora, I=(a:b:c) es el incentro, y las rectas cy + bz = 0, cy - bz = 0 son las ecuaciones de las bisectrices interior y exterior del ángulo A, lo que resuelve el apartado a).
Para el apartado b) hacemos
![]()
lo que indica que V es siempre el ortocentro de AFG.