De investigación. Propuesto por Juan Bosco Romero Márquez, profesor colaborador de la Universidad de Valladolid


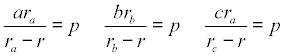
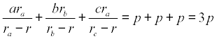
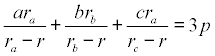
Problema 410. Demostrar la fórmula

Eqn0.gif


Donde ra, rb, rc, son los radios de los círculos ex-inscritos, al triángulo ABC, respectivamente, y p el semi-perímetro.


Lemoine, E. (1900) El progreso matemático (2) II, p. 336 (Cuestión 343). Zaragoza
Lemoine, E. (1902) Revista Trimestral de Matemáticas, Año II, Diciembre N. 8 p. 192. Zaragoza.


Solución de José María Pedret, Ingeniero Naval. Esplugues de Llobregat (Barcelona). (18 de octubre de 2007)

 

SOLUCIÓN

 

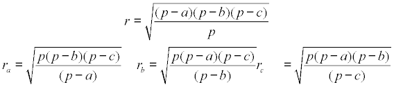
Para llegar a la demostración propuesta daremos por sabidas las siguientes expresiones


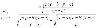
Eqn1.gif


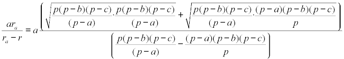
En función de lo anterior, expresamos el primer sumando como


Eqn2.gif


que sin cambiar la ecuación podemos escribir como


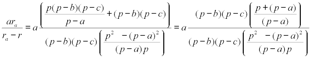
Eqn3.gif


y operando en el numerador y el denominador respectivamente, obtenemos


Eqn4.gif


donde ejecutando las raíces cuadradas nos queda


Eqn5.gif


y eliminando los factores comunes del numerador y el denominador llegamos a


Eqn6.gif


y por simetría con los otros sumandos del primer miembro de la ecuación propuesta


Eqn7.gif


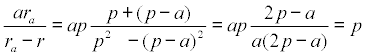
que nos conduce a


Eqn8.gif


como queríamos demostrar.