De investigación. Propuesto por Vicente Vicario García, profesor del I.E.S. El SUR, Huelva


Problema 412

Demostrar o refutar si en un triángulo equilátero la curva de longitud mínima que corta al mismo en dos polígonos de igual área, es un segmento de línea recta


Vicario, V. (2007): Comunicación personal


Solución de José María Pedret, Ingeniero Naval. Esplugues de Llobregat (Barcelona). (25 de octubre de 2007)

 

SOLUCIÓN

 

DIBUJAMOS EL ENUNCIADO


01.gif


Tomamos como eje de ordenadas la altura y como eje de abscisa la base. La simetría del triángulo obliga a la simetría de la curva buscada y=f(x).


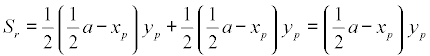
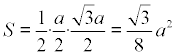
El área S de medio triángulo equilátero de lado a es

El área bajo la curva y=f(x) es

y el resto del área es


La condición de que la curva divide al triángulo en dos áreas iguales se escribe como




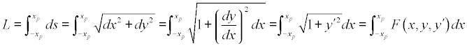
Podemos plantearnos un problema de cálculo de variaciones en el que los límites de integración son variables y existe una ligadura; pero lo que haremos, gracias a la simetría del problema, es la sucesión de dos problemas

  • Hallar primero la curva de mínima longitud y supondremos que el área Sf está determinada y vale un constante
  • Obligar a que dicha curva divida el triángulo en dos superficies iguales y así evitamos extender el problema variacional a los límite

CURVA DE MÍNIMA LONGITUD



Con la condición que el área de debajo la curva es una constante


y nos queda


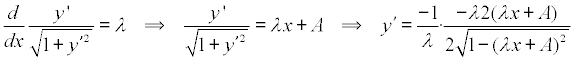
la ecuación de Euler de este problema variacional es


nos queda

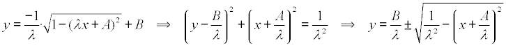
resolviendo y’


esta curva es en general una circunferencia, pero por la simetría del problema el centro debe estar en el eje de ordenadas


Por tanto


LA CURVA QUE PROPORCIONA LA MÍNIMA LONGITUD ES UNA CIRCUNFERENCIA QUE DEPENDE DE DOS PARÁMETROS (Y NO UNA RECTA); LA DETERMINACIÓN DE LA MISMA SE OBTIENE OBLIGANDO A QUE CUMPLA LA CONDICIÓN SOBRE EL ÁREA QUE NOS DA EL ENUNCIADO