Propuesto por Juan Carlos Salazar, profesor de Geometría del Equipo Olímpico de Venezuela (Puerto Ordaz).


Problema 413

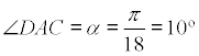
En el triángulo ABC, B=80º, C=20º, D en BC, AB=DC. Hallar ∠DAC.


Juan Carlos Salazar (2004): Comunicación personal.


Solución de José María Pedret, Ingeniero Naval. Esplugues de Llobregat (Barcelona). (18 de octubre de 2007)

 

SOLUCIÓN

 


413.gif
figura 1


ENUNCIADO

Por A una paralela a BC y por C una paralela a AB que se cortan en E.

Por E arco de radio EC=AB que corta a BC en D.


Eqn1.gif


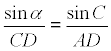
TEOREMA DE LOS SENOS EN EL TRIÁNGULO CAD

Eqn2.gif


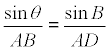
TEOREMA DE LOS SENOS EN EL TRIÁNGULO DAB

Eqn3.gif


LA ECUACIÓN DE PARTIDA

Dividiendo miembro a miembro la dos ecuaciones anteriores obtenemos


Eqn4.gif

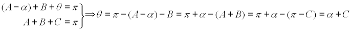
RELACIÓN ENTRE α y θ


Eqn5.gif


INTRODUCIMOS LOS VALORES DE B Y C

Eqn6.gif


ordenando nos queda

Eqn7.gif

pero

ole7.gif

nos lleva a

Eqn9.gif

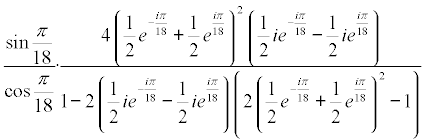
y utilizando el ángulo mitad

Eqn10.gif


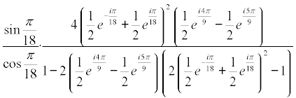
y sustituyendo senos y cosenos por su expresión exponencial compleja


Eqn11.gif

eliminando i de dentro de los paréntesis

Eqn12.gif

y desarrollando los productos

Eqn13.gif

y nos queda

Eqn14.gif

por lo tanto

Eqn15.gif