Para el aula. Propuesto por Ricard Peiró i Estruch Profesor de Matemáticas del IES "Abastos" (València)


Problema 414 en español.

Demostrar que para cualquier triángulo rectángulo el radio de la circunferencia que entra en contacto con sus catetos y la circunferencia circunscrita (por dentro) es igual al diámetro de la circunferencia inscrita.


Problema 414 en català.

Demostreu que en qualsevol triangle rectangle el radi de la circumferència que és tangent als catets y tangent interior a la circumferènccia circumcrita és igual al diàmetre de la circumferència inscrita al triangle.


Shariguin. “Problemas de Geometría”. Planimetría”. Ed. Mir. Moscú. 1986. problema II106. página 88.


Solución de José María Pedret, Ingeniero Naval. Esplugues de Llobregat (Barcelona). (22 de octubre de 2007)

 

SOLUCIÓN

 

414.gif
figura 1

ELECCIÓN DE UNOS EJES DE COORDENADAS

La ventaja de trabajar con un triángulo rectángulo de lados a=BC, b=CA, c=AB y de semi-perímetro p es que las ecuaciones de los círculos inscrito y circunscrito son bastante simples. Y más sencillas todavía, si tomamos como ejes coordenados los dos catetos, AB como eje de abscisas y AC como eje de ordenadas (origen en A, vértice del ángulo recto).


EL CÍRCULO INSCRITO

El radio de este círculo es igual a la distancia entre el vértice del ángulo recto y uno de los puntos de contacto que es igual al semi-perímetro menos el lado a.

Eqn1.gif


la ecuación de este círculo es

Eqn2.gif


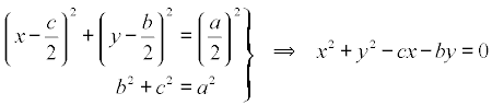
EL CÍRCULO CIRCUNSCRITO

El diámetro de este círculo es el lado BC por lo tanto la mitad de ese lado es el radio


Eqn3.gif


y el centro se halla en el punto medio de ese lado con coordenadas


Eqn4.gif

Como pasa por el origen, la ecuación es

Eqn5.gif

y como el triángulo es rectángulo


Eqn6.gif


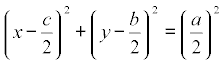
EL CÍRCULO TANGENTE A LOS CATETOS E INTERIORMENTE AL CÍRCULO CIRCUNSCRITO

La tangencia a los dos catetos, obliga al centro a estar en la bisectriz de tales catetos; el centro ha de ser de la forma


Eqn7.gif


donde λ es el radio desconocido del círculo buscado; lo que indica que la ecuación de este círculo es


Eqn8.gif


El círculo inscrito también es tangente a los catetos y tiene el centro sobre la bisectriz de los mismos. Concluímos que


el círculo circunscrito y el círculo buscado son homotéticos en una homotecia de centro A y razón que debemos determinar


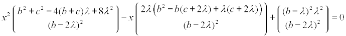
BUSCAMOS LAS INTERSECCIONES DE ESTE CÍRCULO Y EL CIRCUNSCRITO


Eqn9.gif


que sustituida en la ecuación del círculo circunscrito da


Eqn10.gif


y eliminado el denominador común


Eqn11.gif


polinomio en x, cuyas raíces son las abscisas de las intersecciones entre los dos círculos; si imponemos que la raíz sea doble los puntos de intersección coincidirán en el punto de contacto y en este caso, se anulará el discriminante de la ecuación


Eqn12.gif


que ordenando en potencias de λ queda como


Eqn13.gif

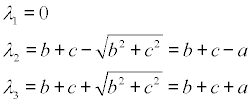
cuyas raíces son

Eqn14.gif


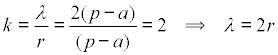
λ1 nos lleva al círculo de centro el origen y de radio nulo, que no es solución y λ3 > λ2 nos indica que λ2 es la solución buscada, pues λ3, al ser mayor es el radio del círculo con tangencia exterior.


Eqn15.gif

CONCLUSIÓN

Calculamos ahora la razón buscada

Eqn16.gif


Con este resultado queda también demostrado lo que pide el enunciado. Es decir


el radio de la circunferencia que entra en contacto con sus catetos y la circunferencia circunscrita (por dentro) es igual al diámetro de la circunferencia inscrita.