De investigación. Propuesto por Vicente Vicario García, profesor del I.E.S. El SUR, Huelva


Problema 417

Demostrar que si en un triángulo ABC, el triángulo formado por los pies de sus bisectrices interiores es rectángulo, entonces dicho triángulo tiene un ángulo de 120º.


Nota: Este problema surge como teorema recíproco al teorema establecido en el problema 9 de esta misma revista. Dicho problema se enunció así: “Demostrar que si en un triángulo ABC un ángulo es de 120º, el triángulo formado por los pies de las bisectrices interiores es rectángulo.” (G. Sánchez Vázquez. Métodos gráficos de resolución de problemas geométricos. Pág 16. SAEM THALES. Sevilla. 1996.)


Solución de José María Pedret, Ingeniero Naval. Esplugues de Llobregat (Barcelona). (2 de noviembre de 2007)

 

SOLUCIÓN

 

DIBUJO DEL ENUNCIADO


01.gif
figura 1

Como siempre

EqnA.gif

y nombramos los pies de las bisectrices como

U el pie de la bisectriz de A

V el pie de la bisectriz de B

W el pie de la bisectriz de C


A partir de aquí usaremos todas las relaciones posibles que podamos obtener de los distintos triángulos de la figura; pero siempre con el ángulo A (o su mitad).


EL TEOREMA DE PITÁGORAS EN EL TRIÁNGULO UVW


02.gif
figura 2


Como el enunciado nos dice que dos bisectrices interiores forman ángulo recto supondremos que el ángulo recto es el opuesto a A

Eqn1.gif  [1]

Debemos hallar expresiones para UV, UW y VW


EL TEOREMA DEL COSENO EN EL TRIÁNGULO AUV


03.gif
figura 3


Eqn2.gif  [2]


EL TEOREMA DEL COSENO EN EL TRIÁNGULO AUW


04.gif
figura 4


Eqn3.gif  [3]


EL TEOREMA DEL COSENO EN EL TRIÁNGULO AVW


05.gif
figura 5


Eqn4.gif  [4]


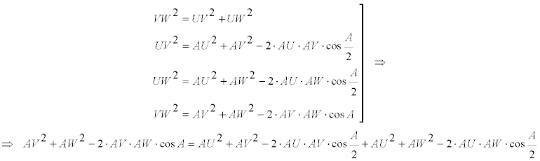
REUNIÓN DE LAS ECUACIONES [1], [2], [3] Y [4]


Sustituyendo [2] , [3] y [4] en [1]

EqnB.gif


que simplificada queda como

Eqn5.gif  [5]


Debemos hallar expresiones para AU, AV y AW


LA EXPRESIÓN DE AU


06.gif
figura 6


El área del triángulo ABC

Eqn6.gif  [6]

El área del triángulo ABU

Eqn7.gif  [7]

El área del triángulo AUC

Eqn8.gif  [8]

Combinando ahora [6], [7] y [8]


EqnC.gif


de donde podemos despejar AU

Eqn9.gif  [9]


LA EXPRESIÓN DE AV


Por el teorema de la bisectriz BV en el triángulo ABC


Eqn10.gif  [10]


LA EXPRESIÓN DE AW


Por el teorema de la bisectriz CV en el triángulo ABC


Eqn11.gif  [11]


EL ÁNGULO A


Sustituyendo [9], [10] y [11] en [5]


Eqn12.gif  [12]


desarrollando la ecuación


Eqn13.gif  [13]


eliminando denominadores y factores distintos de cero no necesarios


Eqn14.gif  [14]


donde teniendo en cuenta las igualdades trigonométricas

EqnD.gif

nos queda

Eqn15.gif  [15]


y ordenando en potencias del coseno de A

Eqn16.gif  [16]


donde no consideramos la primera solución; pero el teorema del coseno en ABC también nos da


Eqn17.gif  [17]

igualando los dos cosenos ([16] y [17])


Eqn182.gif  [18]


y retomando de nuevo [16] con el valor de [18]


EqnE.gif


que era lo que queríamos demostrar.