Problema 421 de triánguloscabri

Sea ABC un triángulo rectángulo en A, c < b < a. Trazamos la recta que pasa por el incentro I, y el circuncentro O, que corta a la prolongación de AC en D, y AB en E, respectivamente. Probar si es cierto o no:
a) Que AD = a/2 si sólo si B = 60º.
b) Si F = AO y EC, entonces IF || AB si y sólo si B = 60º.

Propuesto por Juan Bosco Romero Márquez.

Solución de Francisco Javier García Capitán

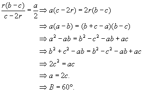
a) Asignemos coordenadas de manera que A=(0,0), B=(c,0), C=(0,b), O=(b/2,c/2) e I=(r,r). A partir de aquí obtenemos:

A partir de aquí, que AD = a/2 se expresa


b) Ahora, calculando

La segunda coorenadada de este vector debe anularse, por lo que deducimos:

Finalmente, imponemos que el triángulo es rectángulo en A: