De investigación. Propuesto por Juan Bosco Romero Márquez, profesor colaborador de la Universidad de Valladolid


Problema 460. Caracterizar a todos los triángulos de lados a, b, y, c, alturas ha, hb, hc, respectivamente, y con a = ma+na, siendo ma, y na, las proyecciones ortogonales de los lados b y c, sobre a, respectivamente, y verificando: na (hc-b) = ma (hb-c).


Romero, J. B. (2006): Comunicación personal.


Solución de José María Pedret, Ingeniero Naval. Esplugues de Llobregat (Barcelona). (22 de abril de 2008)

 

Solución

 

01.png


Observando la figura obtenemos las siguientes ecuaciones


Eqn1.gif


que resueltas nos proporcionan


Eqn2.gif


y análogamente

Eqn3.gif


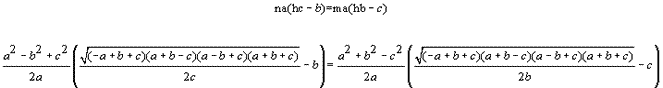
Introduciendo estos valores en la condición del enunciado, obtenemos


Eqn4.gif


y simplificando


Eqn5.gif


que nos proporciona cuatro posibilidades


(i)

02.png



Eqn6.gif


Todos los triángulos isósceles de base a


(ii)

03.png


Eqn7.gif


Es un triángulo degenerado en que la suma de dos lados es igual a la base


(iii)

Eqn8.gif

Se limita a un punto.

(iv)

04.png


Eqn9.gif


Esta condición se reduce a

Eqn10.gif


Es un triángulo rectángulo de base a.


También podíamos haber elevado al cuadrado los miembros de la ecuación última y habríamos obtenido


Eqn11.gif