Problema 493. Propuesto por Juan Bosco Romero Márquez, profesor colaborador de la Universidad de Valladolid


Hallar el área del único triangulo escaleno (modulo rotaciones) formado desde los tres vértices de un heptágono regular, teniendo los ángulos pi/7, 2pi/7, y 4pi/7, respectivamente, inscrito en una circunferencia de radio R.


Matemática Elemental, Tomo I, N.2, Enero,1932, en p.28


Solución de José María Pedret, Ingeniero Naval. Esplugues de Llobregat (Barcelona). (1 de noviembre de 2008)

 

Solución

 

Se encuentra la solución de este enunciado en el problema 34-2 de la página 257 de:


Norte de problemas,

Rey Pastor y Gallego Díaz,

Editorial Dossat


01.gif


Si examinamos la siguiente figura podemos deducir que se trata de calcular el área del triángulo gris de la figura, cuyos lados son:


CD, lado del heptágono regular;

AC, lado de un heptágono estrellado de segunda especie;

AD, lado del heptágono estrellado de tercera especie.

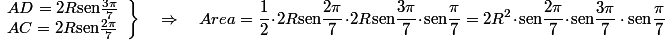
Se verifica:

ole.gif.

Pero:

ole1.gif.


Para calcular el producto de los senos consideramos la ecuación:


ole2.gif.

Dividiendo por Z-1 obtenemos:

ole3.gif

que es una ecuación recíproca.


Dividiendo ahora por Z3 y agrupando convenientemente los términos (ecuación recíproca):


ole4.gif.

Pero


ole5.gif


Las soluciones en Z de esta ecuación son las de la ecuación Z3 - 1 = 0 , es decir


ole7.gif

cuyos recíprocos son

ole8.gif

Los valores de ole9.gif son:

ole10.gif.

Llamando a ole9.gif , 2x, la anterior ecuación se escribe:

ole12.gif.


Y, en virtud de que las raíces de esta ecuación son

ole13.gif

podemos escribir la identidad


ole14.gif

y dando a x el valor 1:

ole15.gif.

Los paréntesis valen, respectivamente

ole16.gif.

Por lo tanto:

ole17.gif

o sea:

ole18.gif


y sustituyendo en la expresión del área del triángulo, obtenemos finalmente:


ole19.gif.