Propuesto por Ercole Suppa, profesor titular de matemáticas y física del Liceo Scientifico “A. Einstein”, 64100 Teramo, Italia.


Problema 502. En un triángulo ABC sean B1 y C1 los puntos de intersección de las bisectrices interiores de los ángulos ABC y BCA con AC, AB respectivamente.


Sea V la intersección de B1. C1 con BC. Sea W la intersección de las bisectrices de los ángulos VC1B y VB1C.


Demostrar que A, V, W están alineados.


Suppa, E. (2009): Comunicación personal.


Solución de José María Pedret, Ingeniero Naval. Esplugues de Llobregat (Barcelona). 2 de abril de 2009.

 

Solución

 

Sabemos que la alineación de puntos es una propiedad proyectiva; si demostramos el enunciado para el caso en que V es el punto del infinito de BC, el enunciado será cierto para cualquier triángulo.


Trazamos el enunciado mandando V al infinito,


Para ello, partimos de un triángulo isósceles cualquiera. Al ser ABC isósceles , C1B1 es paralela a BC y por lo tanto su punto en común V también será su punto del infinito.


Y trazamos por el vértice A la recta AV paralela a BC que comparte con BC y C1B1 el punto del infinito V.


Trazamos la bisectriz del ángulo VC1B, que encuentra a AV en WC y a BC en M.


Trazamos la bisectriz del ángulo VB1C, que encuentra a AV en WB y a BC en N.


Según el enunciado, las bisectrices C1WC y B1WC se encuentran en W.


Si demostramos que WC, WB y W coinciden, habremos demostrado que W, A, V están alineados.


¡¡¡ Calcularemos los ángulos dirigidos (mód. 180°) tomando como sentido positivo el sentido horario !!!


Veamos ahora que NB1 es paralela a CC1


NB1 y CC1 son paralelas


Calculemos el ángulo que forma C1WC con AV teniendo en cuenta que C1WC es la bisectriz del ángulo VC1M


Angulo


Calculemos el ángulo que forma B1WB con AV teniendo en cuenta que B1WB es la bisectriz del ángulo VB1N


Angulo


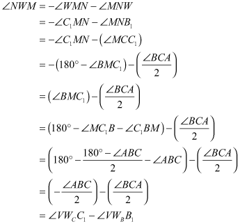
Calculemos el ángulo NWM que forman las dos bisectrices que se cortan en W


ole3.gif

y de aquí

ole4.gif


WC y WB están sobre la misma recta paralela a BC, luego coinciden; pero si WC y WB coinciden , W coincide con ellos, luego W esta en la paralela a BC por A.


W, A y V están alineados en la paralela a BC por A, como la alineación se conserva

proyectivamente, queda probada la alineación de los tres puntos para todo triángulo