Propuesto por Ercole Suppa, profesor titular de matemáticas y física del Liceo Scientifico  “A. Einstein”  Teramo, Italia

 

Problema 561

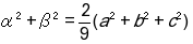
Los semiejes α y β de la elipse de Steiner del triángulo ABC (elipse circunscrita al triángulo y que tiene por centro al baricentro del mismo, verifican las identidades:

 image

 

image

Barisien E.N., (1911) Il Periodico di Matematica, pag. 40, problema 782