EXTRA
18 de Septiembre de 2010. El director lamenta profundamente comunicar el fallecimiento de Italo.

In memoriam
Dedicado por Ercole Suppa a su maestro y amigo Italo D’Ignazio.
Problema 582
El triángulo T que es tangente externamente a las excircunferencias es denominado triángulo extangencial. Demostrar que :
(1) T es homotético al triángulo órtico, y hallar el centro de homotecia.
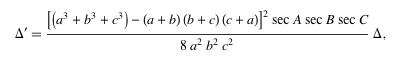
(2) El área de T es
Donde Delta es el área de ABC
(3)El incentro I(T) coincide con el circuncentro C(J) del triángulo Ja, Jb, Jc donde Ja, Jb y Jc son los excentros de ABC.
(4)El radio r(T) de la circunferencia inscrita de T es r(T)=2R+r siendo R y r el circunradio y el inradio de ABC, respectivamente.
http://mathworld.wolfram.com/ExtangentsTriangle.html