Propuesto por Miguel-Ángel Pérez García-Ortega, profesor de Matemáticas en el IES "Bartolomé-José Gallardo" de Campanario (Badajoz)
Problema 1042
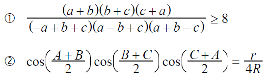
Dado un triángulo ABC con inradio r y circunradio R y cuyos lados tienen lontitudes a, b y c, probar que:

Pérz, M. A. (2022): omunicación personal.