Laboratorio virtual de triángulos con Cabri

Curso 2020-2021

Del 1 de Septiembre al 31 de Octubre de 2020

Propuesto por Antonio Casas Pérez, profesor del Departamento de Matemática Aplicada al Urbanismo, a la Edificación y al Medio Ambiente, Universidad Politécnica de Madrid.

Problrma 948.- División de un triángulo.

Solución de Florentino Damián Aranda Ballesteros, profesor de Matemáticas de Córdoba (26 de Septiembre de 2020)

Propuesto por Juan José Isach Mayo, Profesor de Matemáticas (Jubilado) . Valencia

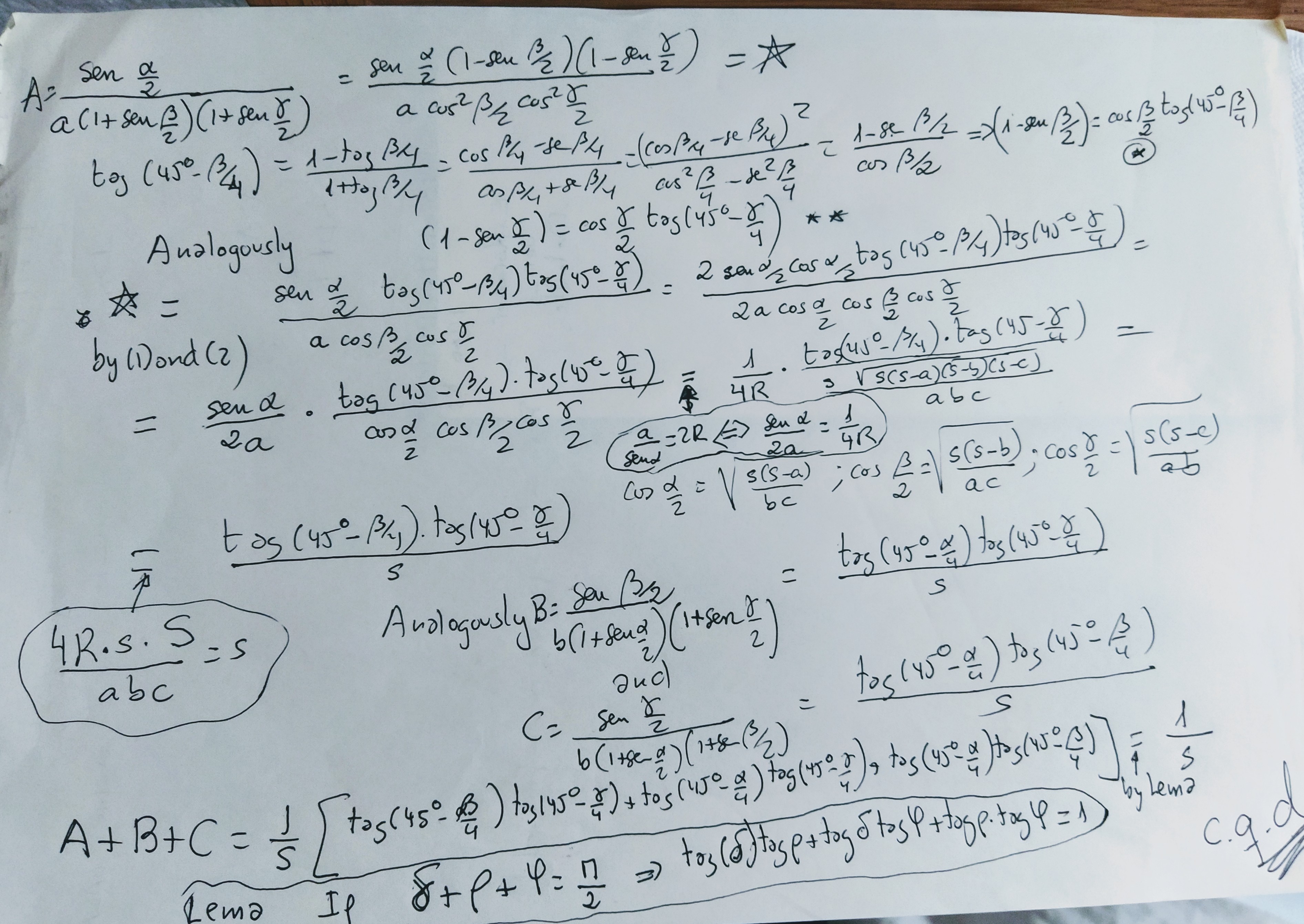
Problema 949.- Acerca del triángulo de oro

Solución de César Beade Franco, profesor de matemáticas jubilado de Cee (La Coruña)(23 de Septiembre de 2020)

Solución de Florentino Damián Aranda Ballesteros, profesor de Matemáticas de Córdoba (26 de Septiembre de 2020)

Solución de Miguel-Ángel Pérez García-Ortega, profesor de Matemáticas en el IES "Bartolomé-José Gallardo" de Campanario (Badajoz). (15 de Octubre de 2020)

 

N. de D. Debido a que Miguel Angel interpreta las áreas de los círculos, admito su solución.

Solución de Saturnino Campo Ruiz, Profesor de Matemáticas jubilado, de Salamanca (19 de Octubre de 2020)

 

Propuesto por Jean Louis Aymé, Île de la Réunion

Problema 950.- Dos ángulos iguales.

Solución de Jean Louis Aymé (Islas Reunión), (1 de Septiembre de 2020).

 

Solución de Miguel-Ángel Pérez García-Ortega, profesor de Matemáticas en el IES "Bartolomé-José Gallardo" de Campanario (Badajoz). (15 de Octubre de 2020)

Propuesto por Juan José Isach Mayo, Profesor de Matemáticas (Jubilado) . Valencia

Problema 951.- Sobre el semiperímetro.

Solución de Juan José Isach Mayo, Profesor de Matemáticas (Jubilado) . Valencia (1 de Septiembre de 2020).

Solución de Angel Silva (1 de Septiembre de 2020)

Solución de Florentino Damián Aranda Ballesteros, profesor de Matemáticas de Córdoba (26 de Septiembre de 2020)

Propuesto por Antonio Casas Pérez, profesor del Departamento de Matemática Aplicada al Urbanismo, a la Edificación y al Medio Ambiente, Universidad Politécnica de Madrid.

Problema 952.- Circunceviano y cónicas.

Solución de César Beade Franco, profesor de matemáticas jubilado de Cee (La Coruña)(23 de Septiembre de 2020)

Solución de Saturnino Campo Ruiz, Profesor de Matemáticas jubilado, de Salamanca (19 de Octubre de 2020)

Quincena del 1 al 15 de Noviembre de 2020

Propuesto por Antonio Roberto Martínez Fernández profesor de matemáticas en el IES Ruiz de Alda (San Javier), y Miguel-Ángel Pérez García-Ortega, profesor de Matemáticas en el IES "Bartolomé-José Gallardo" de Campanario (Badajoz)

Problema 953.- Sobre cónicas

Solución de Miguel-Ángel Pérez García-Ortega, profesor de Matemáticas en el IES "Bartolomé-José Gallardo" de Campanario (Badajoz). (2 de Noviembre de 2020)

Solución de Antonio Casas Pérez, profesor jubilado del Departamento de Matemática Aplicada al Urbanismo, a la Edificación y al Medio Ambiente, Universidad Politécnica de Madrid (4 de Noviembre de 2020).

Solución de César Beade Franco, profesor de Matemáticas jubilado de Cee (La Coruña)(8 de Noviembre de 2020)

 

Solución de Saturnino Campo Ruiz, Profesor de Matemáticas jubilado, de Salamanca (9 de Noviembre de 2020)

Propuesto por Antonio Casas Pérez, profesor jubilado del Departamento de Matemática Aplicada al Urbanismo, a la Edificación y al Medio Ambiente, Universidad Politécnica de Madrid.

Problema 954.- Haces de cónicas

Solución de Miguel-Ángel Pérez García-Ortega, profesor de Matemáticas en el IES "Bartolomé-José Gallardo" de Campanario (Badajoz). (2 de Noviembre de 2020)

 

Solución de César Beade Franco, profesor de Matemáticas jubilado de Cee (La Coruña)(4 de Noviembre de 2020)

Solución de Saturnino Campo Ruiz, Profesor de Matemáticas jubilado, de Salamanca (9 de Noviembre de 2020)

Propuesto por Miguel-Ángel Pérez García-Ortega, profesor de Matemáticas en el IES "Bartolomé-José Gallardo" de Campanario (Badajoz)

Problema 955.- Parábolas

Solución de Antonio Roberto Martínez Fernández profesor de matemáticas en el IES Ruiz de Alda (San Javier)(1 de Noviembre de 2020)

Solución de Miguel-Ángel Pérez García-Ortega, profesor de Matemáticas en el IES "Bartolomé-José Gallardo" de Campanario (Badajoz). (2 de Noviembre de 2020)

 

Solución de César Beade Franco, profesor de Matemáticas jubilado de Cee (La Coruña)(5 de Noviembre de 2020)

Solución de Saturnino Campo Ruiz, Profesor de Matemáticas jubilado, de Salamanca (9 de Noviembre de 2020)

Propuesto por Antonio Casas Pérez, profesor jubilado del Departamento de Matemática Aplicada al Urbanismo, a la Edificación y al Medio Ambiente, Universidad Politécnica de Madrid.

Problema 956.- Área mínima

Solución de Miguel-Ángel Pérez García-Ortega, profesor de Matemáticas en el IES "Bartolomé-José Gallardo" de Campanario (Badajoz). (2 de Noviembre de 2020)

 

Solución de César Beade Franco, profesor de Matemáticas jubilado de Cee (La Coruña)(8 de Noviembre de 2020)

Solución de Florentino Damián Aranda Ballesteros, profesor de Matemáticas de Córdoba (10 de Noviembre de 2020)

 

Quincena del 16 al 30 de Noviembre de 2020

Propuesto por Miguel-Ángel Pérez García-Ortega, profesor de Matemáticas en el IES "Bartolomé-José Gallardo" de Campanario (Badajoz)

Problema 957.- Cónicas en triángulos

 

Solución de Miguel-Ángel Pérez García-Ortega, profesor de Matemáticas en el IES "Bartolomé-José Gallardo" de Campanario (Badajoz). (19 de Noviembre de 2020)

Solución de César Beade Franco, profesor de Matemáticas jubilado de Cee (La Coruña)(24 de Noviembre de 2020)

Propuesto por César Beade Franco, profesor de Matemáticas jubilado de Cee (La Coruña)

Problema 958.- Circuncentros

Solución de Miguel-Ángel Pérez García-Ortega, profesor de Matemáticas en el IES "Bartolomé-José Gallardo" de Campanario (Badajoz). (19 de Noviembre de 2020)

Solución de César Beade Franco, profesor de Matemáticas jubilado de Cee (La Coruña)(25 de Noviembre de 2020)

Quincena del 1 al 15 de Diciembre de 2020

Propuesto por Miguel-Ángel Pérez García-Ortega, profesor de Matemáticas en el IES "Bartolomé-José Gallardo" de Campanario (Badajoz

Problema 959 Un lugar geométrico.

Solución de Miguel-Ángel Pérez García-Ortega, profesor de Matemáticas en el IES "Bartolomé-José Gallardo" de Campanario (Badajoz). (1 de Diciembre de 2020)

Propuesto por Antonio Casas Pérez, profesor jubilado del Departamento de Matemática Aplicada al Urbanismo, a la Edificación y al Medio Ambiente, Universidad Politécnica de Madrid

Solución de César Beade Franco, profesor de matemáticas jubilado de Cee (La Coruña) (9 de Diciembre de 2020)

Problema 960.- Triángulo inscrito en cónicas.

Solución de Miguel-Ángel Pérez García-Ortega, profesor de Matemáticas en el IES "Bartolomé-José Gallardo" de Campanario (Badajoz). (2 de Diciembre de 2020)

Solución de Antonio Casas Pérez, profesor jubilado del Departamento de Matemática Aplicada al Urbanismo, a la Edificación y al Medio Ambiente, Universidad Politécnica de Madrid (11 de Diciembre de 2020).

Propuesto por Miguel-Ángel Pérez García-Ortega, profesor de Matemáticas en el IES "Bartolomé-José Gallardo" de Campanario (Badajoz

Problema 961. Triángulo rectángulo e hipérbola.

Solución de Miguel-Ángel Pérez García-Ortega, profesor de Matemáticas en el IES "Bartolomé-José Gallardo" de Campanario (Badajoz). (1 de Diciembre de 2020)

Solución de César Beade Franco, profesor de matemáticas jubilado de Cee (La Coruña) (9 de Diciembre de 2020)

Solución de Saturnino Campo Ruiz, Profesor de Matemáticas jubilado, de Salamanca (9 de Diciembre de 2020)

Propuesto por César Beade Franco, profesor de Matemáticas jubilado de Cee (La Coruña)

Problema 962.- Sobre cuatro áreas

Solución de Miguel-Ángel Pérez García-Ortega, profesor de Matemáticas en el IES "Bartolomé-José Gallardo" de Campanario (Badajoz). (1 de Diciembre de 2020)

Solución de Antonio Casas Pérez, profesor jubilado del Departamento de Matemática Aplicada al Urbanismo, a la Edificación y al Medio Ambiente, Universidad Politécnica de Madrid (5 de Diciembre de 2020).

 

Solución de César Beade Franco, profesor de matemáticas jubilado de Cee (La Coruña) (9 de Diciembre de 2020)

Propuesto por Miguel-Ángel Pérez García-Ortega, profesor de Matemáticas en el IES "Bartolomé-José Gallardo" de Campanario (Badajoz

Problema 963. Triángulo heptagonal.

Solución de Miguel-Ángel Pérez García-Ortega, profesor de Matemáticas en el IES "Bartolomé-José Gallardo" de Campanario (Badajoz). (1 de Diciembre de 2020)

Solución de Saturnino Campo Ruiz, Profesor de Matemáticas jubilado, de Salamanca (9 de Diciembre de 2020)

Solución del director apoyada en un vídeo de Kindhearted man 10 de Diciembre de 2020

 

Edición extraordinaria del 16 de Diciembre de 2020 al 15 de Enero de 2021

 

Problema 964.- Una mediana constante y fija.

Solución del director (16 de Diciembre de 2020)

Solución de Miguel-Ángel Pérez García-Ortega, profesor de Matemáticas en el IES "Bartolomé-José Gallardo" de Campanario (Badajoz). (16 de Diciembre de 2020)

Solución de César Beade Franco, profesor de matemáticas jubilado de Cee (La Coruña) (21 de Diciembre de 2020

Problema 965. - Un lugar geométrico

Solución del director (16 de Diciembre de 2020)

Solución de Miguel-Ángel Pérez García-Ortega, profesor de Matemáticas en el IES "Bartolomé-José Gallardo" de Campanario (Badajoz). (16 de Diciembre de 2020)

Solución de César Beade Franco, profesor de matemáticas jubilado de Cee (La Coruña) (21 de Diciembre de 2020)

Problema 966. Dos lugares geométricos

Solución del director (16 de Diciembre de 2020)

Solución de Miguel-Ángel Pérez García-Ortega, profesor de Matemáticas en el IES "Bartolomé-José Gallardo" de Campanario (Badajoz). (16 de Diciembre de 2020)

Solución de César Beade Franco, profesor de matemáticas jubilado de Cee (La Coruña) (21 de Diciembre de 2020

Propuesto por Miguel-Ángel Pérez García-Ortega

Problema 967. Un lugar geométrico.

Solución de Miguel-Ángel Pérez García-Ortega, profesor de Matemáticas en el IES "Bartolomé-José Gallardo" de Campanario (Badajoz). (16 de Diciembre de 2020)

Solución del director (18 de Diciembre de 2020)

Solución de César Beade Franco, profesor de matemáticas jubilado de Cee (La Coruña) (9 de Enero de 2021)

Propuesto por Antonio Casas Pérez, profesor jubilado del Departamento de Matemática Aplicada al Urbanismo, a la Edificación y al Medio Ambiente, Universidad Politécnica de Madride problema a raíz del P967 propuesto por M.A. Pérez García-Ortega

Problema 968.- Un lugar geométrico

Solución de Miguel-Ángel Pérez García-Ortega, profesor de Matemáticas en el IES "Bartolomé-José Gallardo" de Campanario (Badajoz). (21 de Diciembre de 2020)

Segunda Solución de Miguel-Ángel Pérez García-Ortega, profesor de Matemáticas en el IES "Bartolomé-José Gallardo" de Campanario (Badajoz). (22 de Diciembre de 2020)

Solución de César Beade Franco, profesor de matemáticas jubilado de Cee (La Coruña) (9 de Enero de 2021)

Propuesto por Miguel-Ángel Pérez García-Ortega, profesor de Matemáticas en el IES "Bartolomé-José Gallardo" de Campanario (Badajoz)

Problema 969.- Un lugar geométrico A partir del problema 966.

Ejercicio 3183. Dado un segmento AB, se considera una recta l que pasa por el punto A y forma un ángulo
beta con la recta AB. Si tomamos un punto P (distinto de A) sobre dicha recta y un punto Q tal que el punto B
es el punto medio del segmento PQ, probar que el lugar geométrico que describe el ortocentro del triángulo
APQ cuando el punto P recorre la recta l es una parábola. ¿ Para qué valores del ángulo beta dicha parábola es
tangente a la recta AB ?.

Solución de Miguel-Ángel Pérez García-Ortega, profesor de Matemáticas en el IES "Bartolomé-José Gallardo" de Campanario (Badajoz). (22 de Diciembre de 2020)

Solución de César Beade Franco, profesor de matemáticas jubilado de Cee (La Coruña) (9 de Enero de 2021)

Propuesto por Miguel-Ángel Pérez García-Ortega, profesor de Matemáticas en el IES "Bartolomé-José Gallardo" de Campanario (Badajoz)

Problema 970.- Un lugar geométrico

A partir del problema 966.

Solución de Miguel-Ángel Pérez García-Ortega, profesor de Matemáticas en el IES "Bartolomé-José Gallardo" de Campanario (Badajoz). (22 de Diciembre de 2020)

Solución de César Beade Franco, profesor de matemáticas jubilado de Cee (La Coruña) (9 de Enero de 2021)

Con una observación acerca de las parábolas del 968 969 y 970

 

Edición Extraordinaria con motivo del coronavirus

Del 16 de Enero al 28 de Febrero de 2021

Propuesto por Antonio Casas Pérez, profesor jubilado del Departamento de Matemática Aplicada al Urbanismo, a la Edificación y al Medio Ambiente, Universidad Politécnica de Madrid

Problema 971. - Cónicas

Solución de Antonio Casas Pérez, profesor jubilado del Departamento de Matemática Aplicada al Urbanismo, a la Edificación y al Medio Ambiente, Universidad Politécnica de Madrid (17 de Febrero de 2021)

Propuesto por Miguel-Ángel Pérez García-Ortega, profesor de Matemáticas en el IES "Bartolomé-José Gallardo" de Campanario (Badajoz)

Problema 972. Igualdad entre cosenos

Solución de Miguel-Ángel Pérez García-Ortega, profesor de Matemáticas en el IES "Bartolomé-José Gallardo" de Campanario (Badajoz). (22 de Enero de 2021)

Propuesto por Miguel-Ángel Pérez García-Ortega, profesor de Matemáticas en el IES "Bartolomé-José Gallardo" de Campanario (Badajoz)

 

Problema 973. Cónicas

Solución de César Beade Franco, profesor de matemáticas jubilado de Cee (La Coruña) (17 de Enero de 2021)

 

Solución de Miguel-Ángel Pérez García-Ortega, profesor de Matemáticas en el IES "Bartolomé-José Gallardo" de Campanario (Badajoz). (22 de Enero de 2021)

 

Solución de Antonio Casas Pérez, profesor jubilado del Departamento de Matemática Aplicada al Urbanismo, a la Edificación y al Medio Ambiente, Universidad Politécnica de Madrid (24 de Enero de 2021).

Solución de Saturnino Campo Ruiz, Profesor de Matemáticas jubilado, de Salamanca (16 de Febrero de 2021)

Problema 974.- Cónicas. Casos concretos

Solución de Antonio Casas Pérez, profesor jubilado del Departamento de Matemática Aplicada al Urbanismo, a la Edificación y al Medio Ambiente, Universidad Politécnica de Madrid (17 de Enero de 2021).

Solución de César Beade Franco, profesor de matemáticas jubilado de Cee (La Coruña) (19 de Enero de 2021)

Solución de Miguel-Ángel Pérez García-Ortega, profesor de Matemáticas en el IES "Bartolomé-José Gallardo" de Campanario (Badajoz). (23 de Enero de 2021)

Solución de Saturnino Campo Ruiz, Profesor de Matemáticas jubilado, de Salamanca (13 de Febrero de 2021)

Solución del director (14 de Febrero de 2021)

Propuesto por Miguel-Ángel Pérez García-Ortega, profesor de Matemáticas en el IES "Bartolomé-José Gallardo" de Campanario (Badajoz)

Problema 975.- Lugar geométrico

Solución de Miguel-Ángel Pérez García-Ortega, profesor de Matemáticas en el IES "Bartolomé-José Gallardo" de Campanario (Badajoz). (22 de Enero de 2021)

Solución de Antonio Casas Pérez, profesor jubilado del Departamento de Matemática Aplicada al Urbanismo, a la Edificación y al Medio Ambiente, Universidad Politécnica de Madrid (26 de Enero de 2021).

Propuesto por Antonio Casas Pérez, profesor jubilado del Departamento de Matemática Aplicada al Urbanismo, a la Edificación y al Medio Ambiente, Universidad Politécnica de Madrid

Problema 976 .- Homotecia y cónica

 

 

Solución de Miguel-Ángel Pérez García-Ortega, profesor de Matemáticas en el IES "Bartolomé-José Gallardo" de Campanario (Badajoz). (24 de Enero de 2021)

Solución de César Beade Franco, profesor de matemáticas jubilado de Cee (La Coruña) (31 de Enero de 2021)

Solución de Saturnino Campo Ruiz, Profesor de Matemáticas jubilado, de Salamanca (16 de Febrero de 2021)

 

Propuesto por Miguel-Ángel Pérez García-Ortega, profesor de Matemáticas en el IES "Bartolomé-José Gallardo" de Campanario (Badajoz)

Problema 977.- Lugar geométrico

Solución de Miguel-Ángel Pérez García-Ortega, profesor de Matemáticas en el IES "Bartolomé-José Gallardo" de Campanario (Badajoz). (22 de Enero de 2021)

Solución de Antonio Casas Pérez, profesor jubilado del Departamento de Matemática Aplicada al Urbanismo, a la Edificación y al Medio Ambiente, Universidad Politécnica de Madrid (27 de Enero de 2021).

Edición del 1 de Marzo al 31 de Marzo de 2021. Las soluciones de estos siete problemas se publicarán el 25 de Marzo

 

Propuesto por Antonio Casas Pérez, profesor jubilado del Departamento de Matemática Aplicada al Urbanismo, a la Edificación y al Medio Ambiente, Universidad Politécnica de Madrid

Problema 978.- Sobre el perímetro

Solución de Miguel-Ángel Pérez García-Ortega, profesor de Matemáticas en el IES "Bartolomé-José Gallardo" de Campanario (Badajoz). (11 de Marzo de 2021)

 

Propuesto por Miguel-Ángel Pérez García-Ortega, profesor de Matemáticas en el IES "Bartolomé-José Gallardo" de Campanario (Badajoz)

Problema 979. Lugar geométrico

Solución de César Beade Franco, profesor de matemáticas jubilado de Cee (La Coruña) (3 de Marzo de 2021)

Solución de Antonio Casas Pérez, profesor jubilado del Departamento de Matemática Aplicada al Urbanismo, a la Edificación y al Medio Ambiente, Universidad Politécnica de Madrid (5 de Marzo de 2021).

Solución de Miguel-Ángel Pérez García-Ortega, profesor de Matemáticas en el IES "Bartolomé-José Gallardo" de Campanario (Badajoz). (9 de Marzo de 2021)

Solución de Saturnino Campo Ruiz, Profesor de Matemáticas jubilado, de Salamanca (15 de Marzo de 2021)

Solución de Philippe Fondanaiche (22 de Marzo de 2021)

Solución de HyunBin Yoo, estudiante de preparación universitaria,Corea del Sur (24 de Marzo de 2021)

Philippe Fondanaiche es webmaster de www.diophante.fr

Solución de HyunBin Yoo, estudiante de preparación universitaria,Corea del Sur (24 de Marzo de 2021)

Solución del director (25 de Marzo de 2021)

 

Propuesto por Miguel-Ángel Pérez García-Ortega, profesor de Matemáticas en el IES "Bartolomé-José Gallardo" de Campanario (Badajoz)

Problema 980. Dos lugares geométricos

Solución de Miguel-Ángel Pérez García-Ortega, profesor de Matemáticas en el IES "Bartolomé-José Gallardo" de Campanario (Badajoz). (9 de Marzo de 2021)

Solución de Saturnino Campo Ruiz, Profesor de Matemáticas jubilado, de Salamanca (15 de Marzo de 2021)

Solución de Philippe Fondanaiche (22 de Marzo de 2021)

 

Philippe Fondanaiche es webmaster de www.diophante.fr

 

Solución del director (25 de Marzo de 2021)

Problema 981. Cuadrado en triángulo rectángulo

Solución de César Beade Franco, profesor de matemáticas jubilado de Cee (La Coruña) (3 de Marzo de 2021)

Solución de Antonio Casas Pérez, profesor jubilado del Departamento de Matemática Aplicada al Urbanismo, a la Edificación y al Medio Ambiente, Universidad Politécnica de Madrid (6 de Marzo de 2021)

Solución de Miguel-Ángel Pérez García-Ortega, profesor de Matemáticas en el IES "Bartolomé-José Gallardo" de Campanario (Badajoz). (9 de Marzo de 2021)

Solución de Saturnino Campo Ruiz, Profesor de Matemáticas jubilado, de Salamanca (15 de Marzo de 2021)

Solución de Philippe Fondanaiche (22 de Marzo de 2021)

 

 

 

Philippe Fondanaiche es webmaster de www.diophante.fr

Solución de HyunBin Yoo, Corea del Sur (24 de Marzo de 2021)

Solución del director (25 de Marzo de 2021)

 

 

Propuesto por Miguel-Ángel Pérez García-Ortega, profesor de Matemáticas en el IES "Bartolomé-José Gallardo" de Campanario (Badajoz)

Problema 982.- Lugares geométricos. Incentro. Feuerbach

 

Solución de Miguel-Ángel Pérez García-Ortega, profesor de Matemáticas en el IES "Bartolomé-José Gallardo" de Campanario (Badajoz). (9 de Marzo de 2021)

Solución de Saturnino Campo Ruiz, Profesor de Matemáticas jubilado, de Salamanca (15 de Marzo de 2021)

 

Propuesto por Miguel-Ángel Pérez García-Ortega, profesor de Matemáticas en el IES "Bartolomé-José Gallardo" de Campanario (Badajoz)

Problema 983- Lugares geométricos. Simediano

Solución de Miguel-Ángel Pérez García-Ortega, profesor de Matemáticas en el IES "Bartolomé-José Gallardo" de Campanario (Badajoz). (9 de Marzo de 2021)

 

Solución de Saturnino Campo Ruiz, Profesor de Matemáticas jubilado, de Salamanca (15 de Marzo de 2021)

Solución de César Beade Franco, profesor de matemáticas jubilado de Cee (La Coruña) (22 de Marzo de 2021)

 

Propuesto por Antonio Casas Pérez, profesor jubilado del Departamento de Matemática Aplicada al Urbanismo, a la Edificación y al Medio Ambiente, Universidad Politécnica de Madrid

Problema 984.- Sobre elipses

Solución de César Beade Franco, profesor de matemáticas jubilado de Cee (La Coruña) (3 de Marzo de 2021)

Solución de Miguel-Ángel Pérez García-Ortega, profesor de Matemáticas en el IES "Bartolomé-José Gallardo" de Campanario (Badajoz). (9 de Marzo de 2021)

Solución de Saturnino Campo Ruiz, Profesor de Matemáticas jubilado, de Salamanca (15 de Marzo de 2021)

 

Edición del 1 de Abril al 15 de Mayo .

Las soluciones de estos nueve problemas se publicarán el 10 de Mayo

 

Propuesto por Miguel-Ángel Pérez García-Ortega, profesor de Matemáticas en el IES "Bartolomé-José Gallardo" de Campanario (Badajoz)

Problema 985.- Un lugar geométrico

 

Solución de Antonio Casas Pérez, profesor jubilado del Departamento de Matemática Aplicada al Urbanismo, a la Edificación y al Medio Ambiente, Universidad Politécnica de Madrid (2 de Abril de 2021).

 

Solución de César Beade Franco, profesor de matemáticas jubilado de Cee (La Coruña) (12 de Abril de 2021)

 

Solución de Miguel-Ángel Pérez García-Ortega, profesor de Matemáticas en el IES "Bartolomé-José Gallardo" de Campanario (Badajoz). (26 de Abril de 2021)

Solución de Saturnino Campo Ruiz, Profesor de Matemáticas jubilado, de Salamanca (9 de Mayo de 2021

Propuesto por Miguel-Ángel Pérez García-Ortega, profesor de Matemáticas en el IES "Bartolomé-José Gallardo" de Campanario (Badajoz)

Problema 986.- Un lugar geométrico

 

Solución de Antonio Casas Pérez, profesor jubilado del Departamento de Matemática Aplicada al Urbanismo, a la Edificación y al Medio Ambiente, Universidad Politécnica de Madrid (2de Abril de 2021).

 

Solución de César Beade Franco, profesor de matemáticas jubilado de Cee (La Coruña) (12 de Abril de 2021)

 

Solución de Miguel-Ángel Pérez García-Ortega, profesor de Matemáticas en el IES "Bartolomé-José Gallardo" de Campanario (Badajoz). (26 de Abril de 2021)

 

Solución de Saturnino Campo Ruiz, Profesor de Matemáticas jubilado, de Salamanca (9 de Mayo de 2021

Propuesto por Miguel-Ángel Pérez García-Ortega, profesor de Matemáticas en el IES "Bartolomé-José Gallardo" de Campanario (Badajoz)

Problema 987.- Triángulos semejantes

Solución de Antonio Casas Pérez, profesor jubilado del Departamento de Matemática Aplicada al Urbanismo, a la Edificación y al Medio Ambiente, Universidad Politécnica de Madrid (2 de Abril de 2021).

 

Solución de César Beade Franco, profesor de matemáticas jubilado de Cee (La Coruña) (12 de Abril de 2021)

 

Solución de Miguel-Ángel Pérez García-Ortega, profesor de Matemáticas en el IES "Bartolomé-José Gallardo" de Campanario (Badajoz). (26 de Abril de 2021)

Solución de Saturnino Campo Ruiz, Profesor de Matemáticas jubilado, de Salamanca (9 de Mayo de 2021

 

Propuesto por Miguel-Ángel Pérez García-Ortega, profesor de Matemáticas en el IES "Bartolomé-José Gallardo" de Campanario (Badajoz)

Problema 988.- Cónicas

Solución de César Beade Franco, profesor de matemáticas jubilado de Cee (La Coruña) (29 de Abril de 2021)

 

Solución de Miguel-Ángel Pérez García-Ortega, profesor de Matemáticas en el IES "Bartolomé-José Gallardo" de Campanario (Badajoz). (26 de Abril de 2021)

Solución de Saturnino Campo Ruiz, Profesor de Matemáticas jubilado, de Salamanca (9 de Mayo de 2021

Propuesto por Antonio Casas Pérez, profesor jubilado del Departamento de Matemática Aplicada al Urbanismo, a la Edificación y al Medio Ambiente, Universidad Politécnica de Madrid

Problema 989.- Sobre ángulos

Solución de Antonio Casas Pérez, profesor jubilado del Departamento de Matemática Aplicada al Urbanismo, a la Edificación y al Medio Ambiente, Universidad Politécnica de Madrid (15 de Junio de 2021).

Solución de Miguel-Ángel Pérez García-Ortega, profesor de Matemáticas en el IES "Bartolomé-José Gallardo" de Campanario (Badajoz). (15 de Junio de 2021)

Problema 990.- En circunferencia

Solución de Antonio Casas Pérez, profesor jubilado del Departamento de Matemática Aplicada al Urbanismo, a la Edificación y al Medio Ambiente, Universidad Politécnica de Madrid (3 de Abril de 2021).

 

Solución de César Beade Franco, profesor de matemáticas jubilado de Cee (La Coruña) (22 de Abril de 2021)

Propuesto por  César Beade Franco, profesor de matemáticas jubilado de Cee (La Coruña)

Problema 991.- Incentros Nagel, Spieker

Solución de César Beade Franco, profesor de matemáticas jubilado de Cee (La Coruña) (12 de Abril de 2021)

Propuesto por Antonio Casas Pérez, profesor jubilado del Departamento de Matemática Aplicada al Urbanismo, a la Edificación y al Medio Ambiente, Universidad Politécnica de Madrid

Problema 992 .- Cónicas

Solución de Miguel-Ángel Pérez García-Ortega, profesor de Matemáticas en el IES "Bartolomé-José Gallardo" de Campanario (Badajoz) con Manuel Muñoz Blázquez, graduado en Matemáticas por la UNED. (26 de Abril de 2021)

Solución de Saturnino Campo Ruiz, Profesor de Matemáticas jubilado, de Salamanca (9 de Mayo de 2021

 

Segunda solución de Saturnino Campo Ruiz, Profesor de Matemáticas jubilado, de Salamanca (12 de Mayo de 2021)

Propuesto por Miguel-Ángel Pérez García-Ortega, profesor de Matemáticas en el IES "Bartolomé-José Gallardo" de Campanario (Badajoz)

Problema 993. Una igualdad

Solución de Antonio Casas Pérez, profesor jubilado del Departamento de Matemática Aplicada al Urbanismo, a la Edificación y al Medio Ambiente, Universidad Politécnica de Madrid (8 de Abril de 2021).

 

Solución de Miguel-Ángel Pérez García-Ortega, profesor de Matemáticas en el IES "Bartolomé-José Gallardo" de Campanario (Badajoz). (26 de Abril de 2021)

Propuesto por Antonio Casas Pérez, profesor jubilado del Departamento de Matemática Aplicada al Urbanismo, a la Edificación y al Medio Ambiente, Universidad Politécnica de Madrid

Problema 994.- Una envolvente

Solución de César Beade Franco, profesor de matemáticas jubilado de Cee (La Coruña) (2 de Junio de 2021)

 

Solución de Miguel-Ángel Pérez García-Ortega, profesor de Matemáticas en el IES "Bartolomé-José Gallardo" de Campanario (Badajoz). (4 de Junio de 2021)

 

Solución de Florentino Damián Aranda Ballesteros, profesor de Matemáticas de Córdoba (7 de Junio de2021)

Solución de Saturnino Campo Ruiz, Profesor de Matemáticas jubilado, de Salamanca (10 de Junio de 2021)

Propuesto por Miguel-Ángel Pérez García-Ortega, profesor de Matemáticas en el IES "Bartolomé-José Gallardo" de Campanario (Badajoz)

Problema 995.- Una envolvente

 

Solución de Miguel-Ángel Pérez García-Ortega, profesor de Matemáticas en el IES "Bartolomé-José Gallardo" de Campanario (Badajoz). (4 de Junio de 2021)

Propuesto por Miguel-Ángel Pérez García-Ortega, profesor de Matemáticas en el IES "Bartolomé-José Gallardo" de Campanario (Badajoz)

Problema 996,- Cónicas

 

Solución de Miguel-Ángel Pérez García-Ortega, profesor de Matemáticas en el IES "Bartolomé-José Gallardo" de Campanario (Badajoz). (4 de Junio de 2021)

Propuesto por Antonio Casas Pérez, profesor jubilado del Departamento de Matemática Aplicada al Urbanismo, a la Edificación y al Medio Ambiente, Universidad Politécnica de Madrid

Problema 997.- Conicas, focos y bisectriz

 

Solución de Saturnino Campo Ruiz, Profesor de Matemáticas jubilado, de Salamanca (9 de Junio de 2021)

 

Propuesto por Miguel-Ángel Pérez García-Ortega, profesor de Matemáticas en el IES "Bartolomé-José Gallardo" de Campanario (Badajoz)

Problema 998.-Hipérbolas

Solución de Miguel-Ángel Pérez García-Ortega, profesor de Matemáticas en el IES "Bartolomé-José Gallardo" de Campanario (Badajoz). (4 de Junio de 2021)

 

 

Propuesto por Miguel-Ángel Pérez García-Ortega, profesor de Matemáticas en el IES "Bartolomé-José Gallardo" de Campanario (Badajoz)

Problema 999.- Rectas

Solución de Miguel-Ángel Pérez García-Ortega, profesor de Matemáticas en el IES "Bartolomé-José Gallardo" de Campanario (Badajoz). (4 de Junio de 2021)

 

Propuesto por Thanos Kalogerakis, por invitación del director

Problema 1000.- Áreas

Solución de Florentino Damián Aranda Ballesteros, profesor de Matemáticas de Córdoba (20 Mayo de 2021)

Solución de Miguel-Ángel Pérez García-Ortega, profesor de Matemáticas en el IES "Bartolomé-José Gallardo" de Campanario (Badajoz). (4 de Junio de 2021)

Solución de Saturnino Campo Ruiz, Profesor de Matemáticas jubilado, de Salamanca (9 de Junio de 2021)

Solución del director (10 de Junio de 2021)

Solución de anónimo (9 de Octubre de 2021)

Extra 1000a.- Orticaria. César Beade Franco, profesor de matemáticas jubilado de Cee (La Coruña) (20 de Mayo de 2021)

Extra 1000b.- Pablo Neruda: Los triángulos.

 

Tres triángulos de pájaros cruzaron
sobre el enorme océano extendido
en el invierno como una besna verde.
Todo yace, el silencio,...

Tomado de http://spanishpoems.blogspot.com/2005/05/pablo-neruda-los-tringulos.html

Propuesto por César Beade Franco, profesor de matemáticas jubilado de Cee (La Coruña)

Problema 1001.- Puntos

Solución de César Beade Franco, profesor de matemáticas jubilado de Cee (La Coruña) (2 de Junio de 2021)

Solución de Miguel-Ángel Pérez García-Ortega, profesor de Matemáticas en el IES "Bartolomé-José Gallardo" de Campanario (Badajoz). (4 de Junio de 2021)

Edición Veraniega del 16 de Junio al 31 de Agosto de 2021

Propuesto por Miguel-Ángel Pérez García-Ortega, profesor de Matemáticas en el IES "Bartolomé-José Gallardo" de Campanario (Badajoz)
Problema 1002.- Triángulos y circunferencias.

Solución de Miguel-Ángel Pérez García-Ortega, profesor de Matemáticas en el IES "Bartolomé-José Gallardo" de Campanario (Badajoz). (18 de Junio de 2021)

Solución de Florentino Damián Aranda Ballesteros, profesor de Matemáticas de Córdoba (19 Julio de 2021)

Propuesto por Miguel-Ángel Pérez García-Ortega, profesor de Matemáticas en el IES "Bartolomé-José Gallardo" de Campanario (Badajoz)
Problema 1003.- Triángulos y circunferencias.

Solución de Miguel-Ángel Pérez García-Ortega, profesor de Matemáticas en el IES "Bartolomé-José Gallardo" de Campanario (Badajoz). (18 de Junio de 2021)

Solución de Antonio Casas Pérez, profesor jubilado del Departamento de Matemática Aplicada al Urbanismo, a la Edificación y al Medio Ambiente, Universidad Politécnica de Madrid (18 de Julio de 2021).

Solución de César Beade Franco, profesor de matemáticas jubilado de Cee (La Coruña) (25 de Agosto de 2021)

Problema 1004. Punto de Exeter.

Solución de Miguel-Ángel Pérez García-Ortega, profesor de Matemáticas en el IES "Bartolomé-José Gallardo" de Campanario (Badajoz). (18 de Junio de 2021)

Solución de Antonio Casas Pérez, profesor jubilado del Departamento de Matemática Aplicada al Urbanismo, a la Edificación y al Medio Ambiente, Universidad Politécnica de Madrid (14 de Julio de 2021).

Solución de Ángel Montesdeoca Delgado,  estudioso de Geometría (6 de Julio de 2021).

Propuesto por Antonio Casas Pérez, profesor jubilado del Departamento de Matemática Aplicada al Urbanismo, a la Edificación y al Medio Ambiente, Universidad Politécnica de Madrid

Problema 1005.- Un lugar geométrico

Solución de Ángel Montesdeoca Delgado,  estudioso de Geometría (13 de Junio de 2021).

Solución de Saturnino Campo Ruiz, Profesor de Matemáticas jubilado, de Salamanca (5 de Agosto de 2021)

Propuesto por Miguel-Ángel Pérez García-Ortega, profesor de Matemáticas en el IES "Bartolomé-José Gallardo" de Campanario (Badajoz)
Problema 1006.- Triángulos y circunferencias

Solución de Miguel-Ángel Pérez García-Ortega, profesor de Matemáticas en el IES "Bartolomé-José Gallardo" de Campanario (Badajoz). (18 de Junio de 2021)

Solución de Antonio Casas Pérez, profesor jubilado del Departamento de Matemática Aplicada al Urbanismo, a la Edificación y al Medio Ambiente, Universidad Politécnica de Madrid (2 de Julio de 2021).

Solución de Antonio Casas Pérez, profesor jubilado del Departamento de Matemática Aplicada al Urbanismo, a la Edificación y al Medio Ambiente, Universidad Politécnica de Madrid (2 de Julio de 2021).

Propuesto por Miguel-Ángel Pérez García-Ortega, profesor de Matemáticas en el IES "Bartolomé-José Gallardo" de Campanario (Badajoz)
Problema 1007. - Triángulo y circunferencia

Solución de Miguel-Ángel Pérez García-Ortega, profesor de Matemáticas en el IES "Bartolomé-José Gallardo" de Campanario (Badajoz). (18 de Junio de 2021)